Chuyển đến nội dung
  • HOTLINE LUẬT SƯ: 0965679698
  • HOTLINE LUẬT SƯ: 0965679698
CÔNG TY LUẬT TNHH KHDCÔNG TY LUẬT TNHH KHD
    • TRANG CHỦ
    • GIỚI THIỆU
    • LĨNH VỰC
          • HÌNH SỰ
          • BẤT ĐỘNG SẢN
          • DOANH NGHIỆP
          • HỢP ĐỒNG
          • THUẾ
          • MÔI TRƯỜNG
          • LUẬT SƯ RIÊNG
          • DÂN SỰ
          • HÔN NHÂN VÀ GIA ĐÌNH
          • ĐẦU TƯ
          • SỞ HỮU TRÍ TUỆ
          • TÀI CHÍNH – NGÂN HÀNG
          • GIẤY PHÉP
          • THEO KHU VỰC
          • HÀNH CHÍNH
          • THỪA KẾ
          • LAO ĐỘNG
          • CÔNG NGHỆ
          • M&A
          • THU HỒI NỢ
    • KIẾN THỨC
          • HÌNH SỰ
          • BẤT ĐỘNG SẢN
          • DOANH NGHIỆP
          • HỢP ĐỒNG
          • ĐẤU THẦU
          • DÂN SỰ
          • HÔN NHÂN VÀ GIA ĐÌNH
          • ĐẦU TƯ
          • SỞ HỮU TRÍ TUỆ
          • GIAO THÔNG
          • HÀNH CHÍNH
          • THỪA KẾ
          • LAO ĐỘNG
          • GIẤY PHÉP
          • PHÁP LUẬT
    • Văn bản
      • VĂN BẢN PHÁP LUẬT
      • BIỂU MẪU
      • ÁN LỆ
    • Tin tức
      • TUYỂN DỤNG
    • Liên hệ

Nghị định 49/2026/NĐ-CP hướng dẫn Nghị quyết 254/2025/QH15 quy định cơ chế, chính sách tháo gỡ khó khăn, vướng mắc trong tổ chức thi hành Luật Đất đai

Đăng bởi: Lê Phương Thảo ngày 14/04/2026

CHÍNH PHỦ
——-

CỘNG HÒA XÃ HỘI CHỦ NGHĨA VIỆT NAM
Độc lập – Tự do – Hạnh phúc
—————

Số: 49/2026/NĐ-CP

Hà Nội, ngày 31 tháng 01 năm 2026

NGHỊ ĐỊNH

QUY ĐỊNH CHI TIẾT VÀ HƯỚNG DẪN MỘT SỐ ĐIỀU CỦA NGHỊ QUYẾT SỐ 254/2025/QH15 CỦA QUỐC HỘI QUY ĐỊNH MỘT SỐ CƠ CHẾ, CHÍNH SÁCH THÁO GỠ KHÓ KHĂN, VƯỚNG MẮC TRONG TỔ CHỨC THI HÀNH LUẬT ĐẤT ĐAI

Căn cứ Luật Tổ chức Chính phủ số 63/2025/QH15;

Căn cứ Luật Tổ chức chính quyền địa phương số 72/2025/QH15;

Căn cứ Luật Đất đai số 31/2024/QH15 được sửa đổi, bổ sung một số điều bởi các Luật số 43/2024/QH15, số 47/2024/QH15, số 58/2024/QH15, số 71/2025/QH15, số 84/2025/QH15, số 93/2025/QH15, số 95/2025/QH15, số 146/2025/QH15 và số 147/2025/QH15 (sau đây gọi là Luật Đất đai);

Căn cứ Nghị quyết số 190/2025/QH15 của Quốc hội quy định về việc xử lý một số vấn đề liên quan đến sắp xếp tổ chức bộ máy nhà nước;

Căn cứ Nghị quyết số 254/2025/QH15 của Quốc hội quy định một số cơ chế, chính sách tháo gỡ khó khăn, vướng mắc trong tổ chức thi hành Luật Đất đai; Theo đề nghị của Bộ trưởng Bộ Nông nghiệp và Môi trường;

Chính phủ ban hành Nghị định quy định chi tiết và hướng dẫn một số điều của Nghị quyết số 254/2025/QH15 của Quốc hội quy định một số cơ chế, chính sách tháo gỡ khó khăn, vướng mắc trong tổ chức thi hành Luật Đất đai.

Chương I

QUY ĐỊNH CHUNG

Điều 1. Phạm vi điều chỉnh

1. Nghị định này quy định:

a) Quy định chi tiết và hướng dẫn một số điều của Nghị quyết số 254/2025/QH15, gồm: điểm b khoản 2, điểm c khoản 3, điểm d khoản 10, điểm d khoản 13 và khoản 14 Điều 3; khoản 11 Điều 4; khoản 8 Điều 7; khoản 3 Điều 8; khoản 4 Điều 9; khoản 4 và khoản 7 Điều 11; điểm b khoản 3 Điều 12;

b) Sửa đổi, bổ sung một số điều của các nghị định liên quan đến tổ chức thi hành Luật Đất đai;

c) Sửa đổi, bổ sung quy định về phân cấp, phân quyền, phân định thẩm quyền trong lĩnh vực đất đai.

2. Các nội dung quy định chi tiết về tiền sử dụng đất, tiền thuê đất trong Nghị quyết số 254/2025/QH15 thực hiện theo Nghị định của Chính phủ quy định chi tiết thi hành Nghị quyết số 254/2025/QH15 ngày 11 tháng 12 năm 2025 của Quốc hội quy định chi tiết một số cơ chế tháo gỡ khó khăn, vướng mắc trong tổ chức thi hành Luật Đất đai về tiền sử dụng đất, tiền thuê đất.

Điều 2. Đối tượng áp dụng

Nghị định này áp dụng đối với cơ quan nhà nước, người sử dụng đất, tổ chức, cá nhân có liên quan đến thực hiện quy định tại Điều 1 Nghị định này.

Chương II

QUY ĐỊNH CHI TIẾT VÀ HƯỚNG DẪN MỘT SỐ ĐIỀU CỦA NGHỊ QUYẾT SỐ 254/2025/QH15

Điều 3. Bồi thường, hỗ trợ, tái định cư, thu hồi đất đối với diện tích đất còn lại không thỏa thuận được của dự án sử dụng đất thông qua thỏa thuận nhận quyền sử dụng đất quy định tại điểm b khoản 2 và điểm d khoản 13 Điều 3 của Nghị quyết số 254/2025/QH15

1. Quy định về xác định diện tích đất thỏa thuận nhận quyền sử dụng đất trong phạm vi dự án:

a) Diện tích đất thỏa thuận nhận quyền sử dụng đất được xác định theo diện tích đất ghi trong hợp đồng chuyển nhượng, cho thuê, cho thuê lại quyền sử dụng đất, góp vốn bằng quyền sử dụng đất, hợp đồng mua bán tài sản gắn liền với đất, chi phí đầu tư vào đất;

b) Diện tích đất quy định tại điểm a khoản này không bao gồm:

b1) Diện tích đất do cơ quan, tổ chức của Nhà nước quản lý, sử dụng;

b2) Diện tích đất của người đang sử dụng đất không có quyền chuyển nhượng, cho thuê quyền sử dụng đất, góp vốn bằng quyền sử dụng đất và không có tài sản gắn liền với đất, chi phí đầu tư vào đất trên đất đó.

2. Quy định về xác định số người sử dụng đất phải thỏa thuận trong phạm vi dự án:

a) Số người sử dụng đất phải thỏa thuận trong phạm vi dự án bao gồm: người có quyền chuyển nhượng, cho thuê, cho thuê lại quyền sử dụng đất, góp vốn bằng quyền sử dụng đất, bán tài sản gắn liền với đất, chi phí đầu tư vào đất;

b) Việc xác định số lượng người sử dụng đất được tính như sau:

b1) Hộ gia đình sử dụng đất thì được tính là 01 người sử dụng đất;

b2) Nhóm người chung quyền sử dụng đất thì được tính là 01 người sử dụng đất;

b3) Vợ và chồng có chung quyền sử dụng đất thì được tính là 01 người sử dụng đất;

b4) Cộng đồng dân cư sử dụng đất thì được tính là 01 người sử dụng đất;

b5) Trường hợp người sử dụng đất có nhiều thửa đất trong phạm vi dự án thì được tính là 01 người sử dụng đất;

b6) Người đang sử dụng đất không có quyền chuyển nhượng, cho thuê quyền sử dụng đất, góp vốn bằng quyền sử dụng đất nhưng thuộc một trong các trường hợp sau đây thì được tính là 01 người sử dụng đất:

Có tài sản gắn liền với đất;

Có chi phí đầu tư vào đất;

Có tài sản gắn liền với đất và chi phí đầu tư vào đất.

3. Hội đồng nhân dân cấp tỉnh xem xét, thông qua việc thu hồi phần diện tích đất còn lại không thỏa thuận được quy định tại điểm b khoản 2 và điểm d khoản 13 Điều 3 của Nghị quyết số 254/2025/QH15. Trường hợp dự án thuộc diện phải chấp thuận chủ trương đầu tư hoặc quyết định chủ trương đầu tư hoặc chấp thuận chủ trương đầu tư đồng thời với chấp thuận nhà đầu tư hoặc quyết định chấp thuận nhà đầu tư thì Hội đồng nhân dân cấp tỉnh xem xét việc thu hồi phần diện tích đất còn lại không thỏa thuận được sau khi dự án đã được chấp thuận chủ trương đầu tư hoặc quyết định chủ trương đầu tư hoặc chấp thuận chủ trương đầu tư đồng thời với chấp thuận nhà đầu tư hoặc đã có quyết định chấp thuận nhà đầu tư theo quy định của pháp luật.

4. Quy định về xác định số tiền chênh lệch giữa số tiền trung bình của giá đất đã thỏa thuận trên một đơn vị diện tích đất của loại đất đã thỏa thuận với số tiền theo phương án bồi thường, hỗ trợ, tái định cư tính trên một đơn vị diện tích của loại đất thu hồi trong phạm vi dự án như sau:

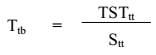
a) Xác định số tiền trung bình tính trên một đơn vị diện tích đất của loại đất đã thỏa thuận được tính theo công thức sau:

image001

Ttb: Số tiền trung bình tính trên một đơn vị diện tích đất của loại đất đã thỏa thuận.

TSTtt: Tổng số tiền theo thỏa thuận của loại đất đã chuyển nhượng quyền sử dụng đất, góp vốn bằng quyền sử dụng đất, bao gồm cả số tiền trả cho tài sản gắn liền với đất (nếu có).

Stt: Tổng diện tích của loại đất đã chuyển nhượng quyền sử dụng đất, góp vốn bằng quyền sử dụng đất tính theo đơn vị mét vuông (m²).

b) Xác định số tiền theo phương án bồi thường, hỗ trợ, tái định cư tính trên một đơn vị diện tích của loại đất thu hồi theo công thức sau:

image002

Tpa: Số tiền theo phương án bồi thường, hỗ trợ, tái định cư tính trên một đơn vị diện tích của loại đất thu hồi.

TSTpa: Tổng số tiền theo phương án bồi thường, hỗ trợ, tái định cư của loại đất thu hồi là tổng số tiền bồi thường, hỗ trợ được nhận chưa trừ đi tiền sử dụng đất, tiền thuê đất phải nộp khi được bồi thường bằng đất.

Sth: Tổng diện tích đất của loại đất thu hồi theo phương án bồi thường, hỗ trợ, tái định cư tính theo đơn vị mét vuông (m²).

c) Xác định số tiền chênh lệch theo công thức sau:

image003

Trong đó:

Tcl: Số tiền chênh lệch.

Ttb: Số tiền trung bình tính trên một đơn vị diện tích đất của loại đất đã thỏa thuận.

Tpa: Số tiền theo phương án bồi thường, hỗ trợ, tái định cư tính trên một đơn vị diện tích của loại đất thu hồi.

5. Việc giao đất, cho thuê đất, cho phép chuyển mục đích sử dụng đất đối với dự án quy định tại điểm b khoản 2 và điểm d khoản 13 Điều 3 của Nghị quyết số 254/2025/QH15 được thực hiện đồng thời trong cùng một quyết định và thể hiện rõ diện tích cho phép chuyển mục đích sử dụng đất; diện tích giao đất, cho thuê đất từ quỹ đất do Nhà nước thu hồi đối với diện tích đất còn lại không thỏa thuận được; diện tích giao đất, cho thuê đất từ quỹ đất do cơ quan, tổ chức của Nhà nước quản lý.

Trường hợp giao đất, cho thuê đất theo tiến độ của dự án đầu tư hoặc theo tiến độ thu hồi đất, bồi thường, hỗ trợ, tái định cư quy định tại khoản 1 Điều 4

Nghị quyết số 254/2025/QH15 thì việc giao đất, cho thuê đất, cho phép chuyển mục đích sử dụng đất thực hiện đồng thời trong cùng một quyết định đối với phần diện tích dự án thực hiện theo tiến độ.

Điều 4. Các trường hợp khác không được bồi thường về đất quy định tại điểm d khoản 10 Điều 3 của Nghị quyết số 254/2025/QH15

1. Sử dụng đất do lấn đất, chiếm đất trụ sở cơ quan, công trình sự nghiệp, công trình công cộng trước ngày 01 tháng 7 năm 2014 mà đã có văn bản ngăn chặn nhưng người sử dụng đất vẫn cố tình vi phạm.

2. Sử dụng đất do lấn đất, chiếm đất kể từ ngày 01 tháng 7 năm 2014 trở về sau đối với đất do cơ quan, tổ chức của Nhà nước quản lý.

Điều 5. Các trường hợp không áp dụng bảng giá đất quy định tại khoản 1 Điều 7 của Nghị quyết số 254/2025/QH15

1. Trường hợp giao đất, cho thuê đất để thực hiện dự án đầu tư lấn biển hoặc dự án đầu tư có hạng mục lấn biển.

2. Ủy ban nhân dân cấp tỉnh xem xét, quyết định việc xác định giá đất cụ thể đối với trường hợp thực hiện dự án đầu tư có mục đích hỗn hợp theo quy hoạch xây dựng.

3. Các trường hợp xác định giá đất cụ thể theo quy định của Luật Đất đai, Nghị quyết số 254/2025/QH15 và khoản 1, khoản 2 Điều này thì thực hiện theo quy định của Luật Đất đai và Nghị định số 71/2024/NĐ-CP (được sửa đổi, bổ sung tại Nghị định số 151/2025/NĐ-CP, Nghị định số 226/2025/NĐ-CP).

Điều 6. Căn cứ xây dựng, sửa đổi, bổ sung bảng giá đất và các trường hợp sửa đổi, bổ sung bảng giá đất quy định tại Điều 7 của Nghị quyết số 254/2025/QH15

1. Căn cứ xây dựng, sửa đổi, bổ sung bảng giá đất, bao gồm:

a) Quy định tại khoản 2 và khoản 3 Điều 158 của Luật Đất đai, Điều 6 của Nghị quyết số 254/2025/QH15;

b) Các phương pháp định giá đất quy định tại các điểm a, b và c khoản 5, các điểm a, b và c khoản 6 Điều 158 của Luật Đất đai, các Điều 4, 5 và 6 của Nghị định số 71/2024/NĐ-CP (được sửa đổi, bổ sung tại Nghị định số 151/2025/NĐ- CP, Nghị định số 226/2025/NĐ-CP).

Khi áp dụng phương pháp định giá đất mà phải ước tính tổng chi phí đầu tư xây dựng thì căn cứ suất vốn đầu tư xây dựng do Ủy ban nhân dân cấp tỉnh công bố; trường hợp Ủy ban nhân dân cấp tỉnh chưa công bố thì căn cứ suất vốn đầu tư xây dựng do Bộ Xây dựng công bố;

c) Các yếu tố ảnh hưởng đến giá đất quy định tại Điều 8 của Nghị định số 71/2024/NĐ-CP;

d) Kết quả tổng hợp, phân tích thông tin về giá đất thị trường;

đ) Kết quả thực hiện bảng giá đất hiện hành;

e) Các yếu tố tự nhiên, kinh tế – xã hội;

g) Yêu cầu quản lý nhà nước về đất đai và quản lý giá đất của từng địa phương.

2. Các trường hợp sửa đổi bảng giá đất, bao gồm:

a) Khi sửa đổi hệ số điều chỉnh mức biến động thị trường quy định tại Phụ lục ban hành kèm theo Nghị định này mà hệ số điều chỉnh mức biến động thị trường này cao hơn mức tối đa hoặc thấp hơn mức tối thiểu. Mức tối đa, mức tối thiểu của hệ số điều chỉnh mức biến động thị trường do Hội đồng nhân dân cấp tỉnh quyết định;

b) Khi có thay đổi địa giới đơn vị hành chính, tên khu vực, vị trí, tên đường, phố, đoạn đường trong bảng giá đất mà không ảnh hưởng đến giá đất trong bảng giá đất;

c) Do yêu cầu quản lý nhà nước về đất đai và quản lý giá đất mà không thuộc trường hợp quy định tại điểm a và b khoản này.

3. Các trường hợp bổ sung bảng giá đất, bao gồm:

a) Bổ sung giá đất của các khu vực, vị trí, đường, phố chưa có tên trong bảng giá đất hiện hành;

b) Bổ sung giá đất tại nơi tái định cư tại chỗ quy định tại khoản 6 Điều 3 của Nghị quyết số 254/2025/QH15.

Điều 7. Nội dung bảng giá đất, xây dựng bảng giá đất quy định tại Điều 7 của Nghị quyết số 254/2025/QH15

1. Nội dung bảng giá đất, bao gồm:

a) Các tiêu chí cụ thể để xác định khu vực, vị trí đối với từng loại đất, số lượng vị trí trong bảng giá đất theo quy định tại Điều 18 và Điều 20 của Nghị định số 71/2024/NĐ-CP (được sửa đổi, bổ sung tại Nghị định số 151/2025/NĐ-CP, Nghị định số 226/2025/NĐ-CP);

b) Bảng giá đất được quy định cho từng loại đất tại từng khu vực, vị trí. Giá các loại đất theo phân loại đất quy định tại Điều 9 của Luật Đất đai, Điều 4, Điều 5 của Nghị định số 102/2024/NĐ-CP và theo yêu cầu thực tế, quản lý giá đất của địa phương;

c) Giá đất tại nơi tái định cư tại chỗ quy định tại khoản 6 Điều 3 của Nghị quyết số 254/2025/QH15.

2. Việc chuẩn bị xây dựng bảng giá đất, trình tự, thủ tục xây dựng bảng giá đất thực hiện theo quy định tại Điều 13 và Điều 14 của Nghị định số 71/2024/NĐ-CP (được sửa đổi, bổ sung tại Nghị định số 151/2025/NĐ-CP, Nghị định số 226/2025/NĐ-CP).

Điều 8. Căn cứ xây dựng, sửa đổi, bổ sung hệ số điều chỉnh giá đất quy định tại Điều 8 của Nghị quyết số 254/2025/QH15

1. Hệ số điều chỉnh giá đất bao gồm hệ số điều chỉnh mức biến động thị trường, hệ số điều chỉnh theo quy hoạch và hệ số điều chỉnh theo yếu tố khác ảnh hưởng đến giá đất. Hệ số điều chỉnh giá đất được phân chia thành các mức khác nhau.

2. Căn cứ xây dựng, sửa đổi, bổ sung hệ số điều chỉnh giá đất, bao gồm:

a) Kết quả tổng hợp, phân tích thông tin về giá đất thị trường;

b) Các phương pháp định giá đất quy định tại các điểm a, b và c khoản 5, các điểm a, b và c khoản 6 Điều 158 của Luật Đất đai, các Điều 4, 5 và 6 của Nghị định số 71/2024/NĐ-CP (được sửa đổi, bổ sung tại Nghị định số 151/2025/NĐ-CP, Nghị định số 226/2025/NĐ-CP).

Khi áp dụng phương pháp định giá đất mà phải ước tính tổng chi phí đầu tư xây dựng thì căn cứ suất vốn đầu tư xây dựng do Ủy ban nhân dân cấp tỉnh công bố; trường hợp Ủy ban nhân dân cấp tỉnh chưa công bố thì căn cứ suất vốn đầu tư xây dựng do Bộ Xây dựng công bố;

c) Các yếu tố tự nhiên, kinh tế – xã hội; quy hoạch xây dựng, đô thị và nông thôn;

d) Yêu cầu quản lý nhà nước về đất đai và quản lý giá đất của từng địa phương.

3. Hệ số điều chỉnh mức biến động thị trường xác định cho từng loại đất tại từng khu vực, vị trí được xác định như sau:

a) Hệ số điều chỉnh mức biến động thị trường xác định cho từng loại đất tại từng khu vực, vị trí được xác định theo công thức sau:

image004

image005

Trong đó:

GTT: Giá đất thị trường tại từng khu vực, vị trí.

GCNi: Giá thửa đất mẫu đã chuyển nhượng trên thị trường, đã trúng đấu giá quyền sử dụng đất sau khi hoàn thành nghĩa vụ tài chính, đã được cấp có thẩm quyền quyết định khi giao đất, cho thuê đất. Thửa đất mẫu được lựa chọn theo từng khu vực, vị trí theo mục đích sử dụng (ít nhất là 03 thửa đất mẫu). Trường hợp không đủ 03 thửa đất mẫu này thì lựa chọn thửa đất tại khu vực, vị trí có điều kiện hạ tầng tương tự để xác định.

GPPj: Giá đất theo phương pháp thu nhập hoặc phương pháp thặng dư đối với trường hợp không đủ điều kiện áp dụng phương pháp so sánh nhưng xác định được các khoản thu nhập, chi phí từ việc sử dụng đất theo mục đích sử dụng đất (nếu có).

n: Số lượng các trường hợp chuyển nhượng trên thị trường, các trường hợp đã trúng đấu giá quyền sử dụng đất sau khi hoàn thành nghĩa vụ tài chính, các trường hợp giá đất do cấp có thẩm quyền quyết định khi giao đất, cho thuê đất (n≥3).

m: Số lượng các trường hợp xác định giá đất theo phương pháp thu nhập, phương pháp thặng dư (m≥0).

GBG: Giá đất của mỗi loại đất tại từng khu vực, vị trí tương ứng được quy định trong bảng giá đất hiện hành.

b) Trường hợp tại thời điểm giao đất, cho thuê đất mà giá đất và hệ số điều chỉnh giá đất chưa phù hợp với tình hình thực tế thì cơ quan có chức năng quản lý đất đai cấp tỉnh chủ trì, phối hợp với các cơ quan có liên quan rà soát, báo cáo Ủy ban nhân dân cấp tỉnh quyết định điều chỉnh hệ số điều chỉnh giá đất cho phù hợp.

4. Hệ số điều chỉnh theo quy hoạch được xác định theo từng loại đất và theo hệ số sử dụng đất. Hệ số sử dụng đất được xác định theo quy định của pháp luật về xây dựng.

Cơ quan có chức năng quản lý đất đai cấp tỉnh chủ trì, phối hợp với cơ quan quản lý quy hoạch, kiến trúc, xây dựng, cơ quan tài chính cấp tỉnh tổ chức thực hiện các nội dung sau:

a) Phân chia hệ số sử dụng đất theo các mức khác nhau;

b) Thu thập thông tin quy hoạch xây dựng chi tiết, quy hoạch tổng mặt bằng của các dự án đầu tư xây dựng, giá đất mà cơ quan có thẩm quyền đã phê duyệt của các dự án;

c) Tổng hợp, phân loại thông tin theo các mức hệ số sử dụng đất; căn cứ giá đất mà cơ quan có thẩm quyền đã phê duyệt của các dự án, đề xuất hệ số điều chỉnh theo quy hoạch đối với từng mức hệ số sử dụng đất.

Trường hợp thông tin về giá đất tại điểm b khoản này mà chưa đủ để xác định hệ số điều chỉnh theo quy hoạch thì căn cứ vào thông tin thu thập theo trình tự quy định tại Phụ lục ban hành kèm theo Nghị định này và áp dụng các phương pháp định giá đất để đề xuất hệ số điều chỉnh theo quy hoạch;

d) Trình Ủy ban nhân dân cấp tỉnh xem xét, quyết định.

5. Hệ số điều chỉnh theo yếu tố khác ảnh hưởng đến giá đất phù hợp với điều kiện thực tế của địa phương.

Căn cứ tình hình cụ thể tại địa phương, cơ quan có chức năng quản lý đất đai cấp tỉnh chủ trì, phối hợp với các cơ quan có liên quan xác định các yếu tố khác có ảnh hưởng đến giá đất, xác định mức độ ảnh hưởng đến giá đất trình Ủy ban nhân dân cấp tỉnh xem xét, quyết định.

Điều 9. Các trường hợp sử dụng đất kết hợp đa mục đích khác theo quy định tại khoản 4 Điều 11 của Nghị quyết số 254/2025/QH15

1. Ngoài các trường hợp sử dụng đất kết hợp đa mục đích quy định tại khoản 1 Điều 218 của Luật Đất đai, các trường hợp khác sử dụng đất kết hợp đa mục đích, bao gồm:

a) Loại đất quy định tại khoản 2 và khoản 3 Điều 9 của Luật Đất đai được sử dụng kết hợp với mục đích năng lượng tái tạo, điện năng lượng mới; nghiên cứu, phát triển, ứng dụng công nghệ cao, công nghệ số;

b) Đất xây dựng công trình sự nghiệp được sử dụng kết hợp với mục đích sự nghiệp khác, trừ trường hợp quy định tại khoản 3 Điều 30 của Luật Đất đai;

c) Đất xây dựng công trình sự nghiệp được sử dụng kết hợp với mục đích công cộng có mục đích kinh doanh, trừ trường hợp quy định tại khoản 3 Điều 30 của Luật Đất đai.

2. Việc sử dụng đất kết hợp đa mục đích quy định tại khoản 1 Điều này thực hiện như quy định về sử dụng đất kết hợp với mục đích thương mại, dịch vụ.

Chương III

SỬA ĐỔI, BỔ SUNG MỘT SỐ ĐIỀU CỦA CÁC NGHỊ ĐỊNH LIÊN QUAN

Điều 10. Sửa đổi, bổ sung một số điều của Nghị định số 71/2024/NĐ-CP ngày 27 tháng 6 năm 2024 của Chính phủ quy định về giá đất (được sửa đổi, bổ sung tại Nghị định số 151/2025/NĐ-CP, Nghị định số 226/2025/NĐ-CP)

1. Sửa đổi, bổ sung một số khoản của Điều 13 như sau:

a) Sửa đổi, bổ sung khoản 1 như sau:

“1. Cơ quan có chức năng quản lý đất đai cấp tỉnh tổ chức lập dự án xây dựng bảng giá đất, trong đó xác định nội dung, tiến độ, dự toán kinh phí thực hiện và các nội dung liên quan.”;

b) Bổ sung vào cuối khoản 5 như sau:

 “Trường hợp tổ chức đấu thầu, tại thời điểm đóng thầu không có nhà thầu nào tham dự thì được gia hạn 01 lần. Sau khi gia hạn mà không lựa chọn được nhà thầu thì cơ quan có chức năng quản lý đất đai cấp tỉnh quyết định lựa chọn tổ chức tư vấn xác định giá đất theo hình thức chỉ định thầu rút gọn.”;

c) Bổ sung khoản 7 vào sau khoản 6 như sau:

 “7. Hội đồng thẩm định bảng giá đất, thẩm định hệ số điều chỉnh giá đất thực hiện thẩm định bảng giá đất và gửi văn bản thẩm định về cơ quan có chức năng quản lý đất đai cấp tỉnh, thực hiện như sau:

a) Nội dung thẩm định của Hội đồng thẩm định bảng giá đất, thẩm định hệ số điều chỉnh giá đất bao gồm việc tuân thủ nguyên tắc, phương pháp định giá đất, trình tự, thủ tục định giá đất, kết quả thu thập thông tin;

b) Hội đồng thẩm định bảng giá đất, thẩm định hệ số điều chỉnh giá đất chịu trách nhiệm về nội dung thẩm định quy định tại điểm a khoản này.

Hội đồng thẩm định bảng giá đất, thẩm định hệ số điều chỉnh giá đất làm việc độc lập, khách quan, theo chế độ tập thể, quyết định theo đa số; Chủ tịch Hội đồng và các thành viên chịu trách nhiệm cá nhân về ý kiến của mình. Các cuộc họp phải có biên bản ghi chép đầy đủ các ý kiến thảo luận, ý kiến bằng văn bản của thành viên Hội đồng, kết quả biểu quyết và được lưu trữ cùng với các tài liệu phục vụ cuộc họp.

Hội đồng thẩm định bảng giá đất, thẩm định hệ số điều chỉnh giá đất được mời đại diện Ủy ban Mặt trận Tổ quốc Việt Nam cùng cấp và các tổ chức chính trị – xã hội khác tham dự cuộc họp thẩm định giá đất.”.

2. Sửa đổi, bổ sung khoản 1 Điều 14 như sau:

 “1. Tổ chức thực hiện định giá đất tiến hành xây dựng bảng giá đất như sau:

a) Điều tra, khảo sát, thu thập thông tin;

b) Rà soát bảng giá đất hiện hành;

c) Xác định loại đất, khu vực, vị trí đất tại từng xã, phường, đặc khu;

d) Tổng hợp, hoàn thiện hồ sơ kết quả điều tra, khảo sát, thu thập thông tin tại cấp xã, cấp tỉnh;

đ) Xây dựng dự thảo bảng giá đất và dự thảo báo cáo thuyết minh xây dựng bảng giá đất.”.

3. Sửa đổi, bổ sung khoản 2 Điều 19 như sau:

 “2. Thu thập thông tin đầu vào theo quy định tại điểm a và điểm b khoản 2 Điều 4 của Nghị định này được hình thành trong thời gian 24 tháng trở về trước tính từ thời điểm có văn bản giao nhiệm vụ xây dựng, sửa đổi, bổ sung bảng giá đất. Trường hợp thông tin có cùng thời điểm phát sinh thì ưu tiên lựa chọn nguồn thông tin theo thứ tự như sau: cơ sở dữ liệu quốc gia về đất đai, cơ sở dữ liệu quốc gia về giá; Văn phòng đăng ký đất đai; cơ quan thuế; đơn vị, tổ chức thực hiện việc đấu giá quyền sử dụng đất, đấu giá tài sản; sàn giao dịch bất động sản, doanh nghiệp bất động sản; thông tin thu thập qua điều tra, khảo sát.”.

4. Sửa đổi, bổ sung một số khoản của Điều 38 như sau:

a) Sửa đổi, bổ sung khoản 4 như sau:

 “4. Kinh phí để tổ chức xây dựng, sửa đổi, bổ sung bảng giá đất, hệ số điều chỉnh giá đất, xác định giá đất cụ thể, cập nhật giá đất được bố trí từ nguồn chi thường xuyên theo quy định của Luật Ngân sách nhà nước.

Kinh phí xác định, thẩm định giá đất cụ thể để tính tiền bồi thường khi Nhà nước thu hồi đất được tính vào chi phí bảo đảm cho việc tổ chức thực hiện bồi thường, hỗ trợ, tái định cư.”;

b) Bổ sung các khoản 5, 6 và 7 vào sau khoản 4 như sau:

 “5. Trường hợp cơ quan có chức năng quản lý đất đai không đặt hàng, giao nhiệm vụ, thuê tổ chức thực hiện định giá đất thì có trách nhiệm tự thực hiện các nội dung quy định tại khoản 1 Điều 14 của Nghị định này.

6. Bộ Tài chính có trách nhiệm tham mưu cho Chính phủ quy định và hướng dẫn về tỷ lệ tính thu tiền sử dụng đất đối với từng loại đất theo đối tượng, hình thức sử dụng đất quy định tại điểm đ khoản 1 Điều 5 của Nghị quyết số 254/2025/QH15.

7. Bộ Xây dựng hướng dẫn về chi phí xây dựng hạ tầng quy định tại điểm d khoản 1, điểm e khoản 2 Điều 5 của Nghị quyết số 254/2025/QH15.

Cơ quan có chức năng quản lý về xây dựng có trách nhiệm cung cấp thông tin về chi phí xây dựng hạ tầng (nếu có) để xác định nghĩa vụ tài chính.”.

Điều 11. Sửa đổi, bổ sung một số điều của Nghị định số 88/2024/NĐ-CP ngày 15 tháng 7 năm 2024 của Chính phủ quy định về bồi thường, hỗ trợ, tái định cư khi Nhà nước thu hồi đất (được sửa đổi, bổ sung tại Nghị định số 151/2025/NĐ-CP, Nghị định số 226/2025/NĐ-CP)

1. Bổ sung điểm n vào sau điểm m của khoản 2 Điều 3 như sau:

“n) Việc bố trí tạm cư, thời gian và kinh phí tạm cư (nếu có).”.

2. Sửa đổi, bổ sung khoản 1 Điều 4 như sau:

 “1. Giá đất tính tiền sử dụng đất, tiền thuê đất khi bồi thường bằng đất có mục đích sử dụng khác với loại đất thu hồi là giá đất theo loại đất được giao, được cho thuê tại thời điểm phê duyệt phương án bồi thường, hỗ trợ, tái định cư.”.

3. Sửa đổi, bổ sung khoản 2 Điều 5 như sau:

 “2. Hộ gia đình, cá nhân đang sử dụng đất có vi phạm pháp luật về đất đai trước ngày 01 tháng 7 năm 2014 mà đã sử dụng đất ổn định, thuộc các trường hợp được xem xét cấp Giấy chứng nhận quyền sử dụng đất theo quy định tại khoản 1, điểm a và điểm c khoản 2, khoản 3, khoản 4 Điều 139 của Luật Đất đai mà không phải đáp ứng điều kiện phù hợp với quy hoạch.”.

4. Sửa đổi, bổ sung nội dung giải thích về giá đất (G) trong công thức tính tiền bồi thường quy định tại khoản 7 Điều 13 như sau:

 “G: Giá đất tính theo bảng giá đất và hệ số điều chỉnh giá đất đối với trường hợp quy định tại khoản 3 Điều 5 của Nghị quyết số 254/2025/QH15 hoặc tính theo giá đất cụ thể đối với trường hợp quy định tại khoản 5 Điều 7 của Nghị quyết số 254/2025/QH15 tại thời điểm phê duyệt phương án bồi thường, hỗ trợ, tái định cư.”.

5. Bổ sung khoản 3 vào sau khoản 2 Điều 14 như sau:

 “3. Trường hợp cần thiết, đơn vị, tổ chức thực hiện nhiệm vụ bồi thường, hỗ trợ, tái định cư được thuê đơn vị tư vấn để xác định mức độ thiệt hại của nhà, nhà ở, công trình xây dựng, tài sản gắn liền với đất. Kinh phí thuê đơn vị tư vấn được tính vào chi phí bảo đảm cho việc tổ chức thực hiện bồi thường, hỗ trợ, tái định cư.”.

6. Bổ sung khoản 3 vào sau khoản 2 Điều 19 như sau:

 “3. Căn cứ tình hình thực tế tại địa phương, Ủy ban nhân dân cấp tỉnh được quy định khác về mức hỗ trợ ổn định đời sống, về hình thức hỗ trợ ổn định đời sống nhưng không thấp hơn so với quy định tại khoản 1 và khoản 2 Điều này.”.

7. Sửa đổi, bổ sung khoản 2 Điều 26 như sau:

 “2. Giá đất để tính ghi nợ tiền sử dụng đất tại nơi tái định cư là giá đất tính theo bảng giá đất và hệ số điều chỉnh giá đất đối với trường hợp quy định tại khoản 3 Điều 5 của Nghị quyết số 254/2025/QH15 hoặc giá đất trong bảng giá đất đối với trường hợp quy định tại khoản 5 Điều 7 của Nghị quyết số 254/2025/QH15 tại thời điểm phê duyệt phương án bồi thường, hỗ trợ, tái định cư.

Khi thanh toán nợ tiền sử dụng đất thì người sử dụng đất trả nợ theo số tiền sử dụng đất đã được ghi nợ.”.

8. Sửa đổi, bổ sung điểm d khoản 2 Điều 28 như sau:

 “d) Trường hợp chủ đầu tư tự nguyện ứng trước tiền bồi thường, hỗ trợ, tái định cư cho đơn vị, tổ chức thực hiện nhiệm vụ bồi thường, hỗ trợ, tái định cư thì có trách nhiệm bảo đảm kinh phí bồi thường, hỗ trợ, tái định cư.

Trường hợp chủ đầu tư chậm ứng trước tiền bồi thường, hỗ trợ, tái định cư thì phải trả khoản kinh phí chi trả bồi thường chậm quy định tại điểm b khoản 3 Điều 94 của Luật Đất đai, được tính vào chi phí đầu tư của dự án mà không được khấu trừ vào tiền sử dụng đất, tiền thuê đất phải nộp.”.

Điều 12. Sửa đổi, bổ sung một số điều của Nghị định số 101/2024/NĐ-CP ngày 29 tháng 7 năm 2024 của Chính phủ quy định về điều tra cơ bản đất đai; đăng ký, cấp Giấy chứng nhận quyền sử dụng đất, quyền sở hữu tài sản gắn liền với đất và Hệ thống thông tin đất đai (được sửa đổi, bổ sung tại Nghị định số 151/2025/NĐ-CP, Nghị định số 226/2025/NĐ-CP)

1. Sửa đổi, bổ sung điểm a khoản 3 Điều 4 như sau:

 “a) Hoạt động đo đạc lập bản đồ địa chính quy định tại các điểm a, b, c và d khoản 2 Điều này thì lập thiết kế kỹ thuật – dự toán trình cấp có thẩm quyền phê duyệt trước khi triển khai, trừ các trường hợp sau đây:

a1) Chỉnh lý bản đồ địa chính thực hiện theo nhiệm vụ thường xuyên, kế hoạch của Văn phòng đăng ký đất đai, Chi nhánh Văn phòng đăng ký đất đai;

a2) Hoạt động đo đạc chỉnh lý bản đồ địa chính theo nhu cầu của người sử dụng đất mà không sử dụng ngân sách nhà nước;”.

2. Sửa đổi, bổ sung một số điểm, khoản của Điều 5 như sau:

a) Sửa đổi, bổ sung khoản 1 như sau:

 “1. Rà soát, xác định khu vực cần lập bản đồ địa chính: Cơ quan có chức năng quản lý đất đai cấp tỉnh tổ chức rà soát, xác định, tổng hợp nhu cầu thực hiện đo đạc lập bản đồ địa chính để báo cáo Ủy ban nhân dân cấp tỉnh quyết định khu vực, phạm vi cần lập bản đồ địa chính.

Đối với khu vực thực hiện trích đo bản đồ địa chính thì cơ quan có chức năng quản lý đất đai cấp tỉnh chấp thuận, cho phép thực hiện đồng thời với quá trình thẩm định phương án nhiệm vụ do chủ đầu tư đề xuất quy định tại khoản 3 Điều này, trừ trường hợp trích đo bản đồ địa chính để phục vụ công tác quản lý nhà nước về đất đai thuộc thẩm quyền của cấp xã.”;

b) Sửa đổi, bổ sung khoản 3 như sau:

 “3. Thẩm định thiết kế kỹ thuật – dự toán, phương án nhiệm vụ: Cơ quan có chức năng quản lý đất đai cấp tỉnh có trách nhiệm thẩm định thiết kế kỹ thuật trong thiết kế kỹ thuật – dự toán, phương án nhiệm vụ. Cơ quan có chức năng quản lý đất đai cấp xã có trách nhiệm tổ chức thực hiện việc thẩm định kỹ thuật trong phương án nhiệm vụ, thiết kế kỹ thuật – dự toán đối với trường hợp trích đo bản đồ địa chính hoặc đo đạc chỉnh lý bản đồ địa chính phục vụ công tác quản lý nhà nước về đất đai thuộc thẩm quyền của cấp xã. Cơ quan thẩm định dự toán kinh phí trong thiết kế kỹ thuật – dự toán, phương án nhiệm vụ được thực hiện theo quy định của pháp luật về quản lý ngân sách nhà nước.”;

c) Sửa đổi, bổ sung điểm a khoản 5 như sau:

 “a) Lựa chọn đơn vị thực hiện: Để thực hiện thiết kế kỹ thuật – dự toán, phương án nhiệm vụ, chủ đầu tư dự án, nhiệm vụ được lựa chọn đơn vị tư vấn thi công; được lựa chọn đơn vị tư vấn giám sát, kiểm tra hoặc chủ đầu tư dự án, nhiệm vụ được tự thực hiện việc giám sát, kiểm tra;”.

3. Sửa đổi, bổ sung một số điểm, khoản của Điều 6 như sau:

a) Sửa đổi, bổ sung điểm đ khoản 2 như sau:

 “đ) Kết quả kiểm tra của Văn phòng đăng ký đất đai hoặc Chi nhánh Văn phòng đăng ký đất đai hoặc cơ quan có chức năng quản lý đất đai cấp xã đối với trường hợp người sử dụng đất có văn bản phản ánh về các sai khác thông tin của thửa đất.”;

b) Bổ sung khoản 4 vào sau khoản 3 như sau:

 “4. Trường hợp thực hiện đo đạc chỉnh lý bản đồ địa chính phục vụ công tác quản lý nhà nước về đất đai thuộc thẩm quyền của cấp xã hoặc theo nhu cầu của người sử dụng đất để giải quyết thủ tục hành chính thuộc thẩm quyền giải quyết của cấp xã thì cơ quan có chức năng quản lý đất đai cấp xã xác nhận kết quả đo đạc để đưa vào sử dụng, chuyển kết quả đo đạc đến Văn phòng đăng ký đất đai, Chi nhánh Văn phòng đăng ký đất đai thực hiện việc chỉnh lý hồ sơ địa chính, cơ sở dữ liệu đất đai.”.

4. Sửa đổi, bổ sung một số điểm, khoản của Điều 9 như sau:

a) Sửa đổi, bổ sung điểm c khoản 4 như sau:

 “c) Kiểm tra, nghiệm thu và ký duyệt bản đồ địa chính; kiểm tra, ký duyệt mảnh trích đo bản đồ địa chính phục vụ công tác quản lý nhà nước về đất đai thuộc thẩm quyền của cấp tỉnh;”;

b) Bổ sung khoản 4a vào sau khoản 4 như sau:

 “4a. Văn phòng đăng ký đất đai, Chi nhánh Văn phòng đăng ký đất đai có trách nhiệm thực hiện việc cập nhật bản đồ địa chính vào cơ sở dữ liệu quốc gia về đất đai; kiểm tra, ký duyệt mảnh trích đo bản đồ địa chính, kết quả đo đạc chỉnh lý bản đồ địa chính, trừ trường hợp thuộc thẩm quyền kiểm tra, ký duyệt của cơ quan có chức năng quản lý đất đai cấp tỉnh và trường hợp trích đo bản đồ địa chính, đo đạc chỉnh lý bản đồ địa chính phục vụ công tác quản lý nhà nước về đất đai thuộc thẩm quyền của cấp xã.”;

c) Sửa đổi, bổ sung khoản 7 như sau:

 “7. Ủy ban nhân dân cấp xã phối hợp, hỗ trợ đơn vị đo đạc và đơn vị giám sát, kiểm tra, nghiệm thu trong quá trình thực hiện theo thiết kế kỹ thuật – dự toán hoặc phương án nhiệm vụ đo đạc lập bản đồ địa chính đã được cấp có thẩm quyền phê duyệt; báo cáo cơ quan có chức năng quản lý đất đai cấp tỉnh tình hình đo đạc lập bản đồ địa chính và việc quản lý, sử dụng, biến động bản đồ địa chính tại địa phương; quản lý, bảo vệ điểm địa chính trên địa bàn; ký xác nhận bản đồ địa chính, mảnh trích đo bản đồ địa chính theo quy định, trừ trường hợp mảnh trích đo bản đồ địa chính phục vụ công tác quản lý nhà nước về đất đai thuộc thẩm quyền của cấp xã thì do cơ quan có chức năng quản lý đất đai cấp xã ký xác nhận; phối hợp với Văn phòng đăng ký đất đai hoặc Chi nhánh Văn phòng đăng ký đất đai để chỉnh lý biến động.”;

d) Bổ sung khoản 10a và khoản 10b vào sau khoản 10 như sau:

 “10a. Việc ký xác nhận mảnh trích đo bản đồ địa chính, kết quả đo đạc chỉnh lý bản đồ địa chính thực hiện như sau:

a) Trường hợp trích đo bản đồ địa chính thực hiện theo thiết kế kỹ thuật – dự toán, phương án nhiệm vụ phục vụ công tác quản lý nhà nước về đất đai thuộc thẩm quyền của cấp xã hoặc phục vụ đăng ký biến động đất đai của Văn phòng đăng ký đất đai, Chi nhánh Văn phòng đăng ký đất đai thì kết quả đo đạc và việc ký xác nhận theo Mẫu số 01/TĐBĐ Phụ lục ban hành kèm theo Nghị định này;

b) Trường hợp trích đo bản đồ địa chính thực hiện theo nhu cầu của người sử dụng đất thì kết quả đo đạc và việc ký xác nhận theo Mẫu số 02/TĐBĐ Phụ lục ban hành kèm theo Nghị định này;

c) Trường hợp đo đạc chỉnh lý bản đồ địa chính thì kết quả đo đạc và việc ký xác nhận theo Mẫu số 03/CLBĐ Phụ lục ban hành kèm theo Nghị định này.

10b. Khi giải quyết thủ tục hành chính về đất đai thuộc thẩm quyền của cơ quan mình, cơ quan có chức năng quản lý đất đai, Văn phòng đăng ký đất đai, Chi nhánh Văn phòng đăng ký đất đai không yêu cầu người sử dụng đất phải thực hiện riêng việc xác nhận, ký duyệt mảnh trích đo bản đồ địa chính, kết quả đo đạc chỉnh lý thửa đất mà thực hiện lồng ghép trong quá trình thực hiện thủ tục hành chính về đất đai.”.

5. Sửa đổi, bổ sung một số khoản của Điều 18 như sau:

a) Sửa đổi, bổ sung khoản 7 như sau:

 “7. Trường hợp sử dụng đất để thực hiện dự án đầu tư thông qua việc thỏa thuận về nhận quyền sử dụng đất theo quy định tại Điều 127 của Luật Đất đai, chủ đầu tư được cấp Giấy chứng nhận đối với diện tích đất đã nhận chuyển quyền hoặc sau khi hoàn thành việc nhận chuyển quyền sử dụng đất đối với toàn bộ dự án thì thực hiện cấp Giấy chứng nhận đồng thời với thủ tục về đất đai để thực hiện dự án theo quy định của pháp luật.

Trường hợp nhận quyền sử dụng đất quy định tại khoản này không áp dụng xử phạt vi phạm hành chính về thời hạn đăng ký biến động đối với bên nhận chuyển quyền sử dụng đất theo quy định tại Nghị định của Chính phủ quy định về xử phạt vi phạm hành chính trong lĩnh vực đất đai.”;

b) Bổ sung khoản 13 và khoản 14 vào sau khoản 12 như sau:

 “13. Đối với các bất động sản, dự án bất động sản mà đã đủ điều kiện đưa vào kinh doanh theo quy định của pháp luật về kinh doanh bất động sản, chủ đầu tư dự án đã ký hợp đồng chuyển nhượng quyền sử dụng đất, quyền sở hữu tài sản gắn liền với đất thì Văn phòng đăng ký đất đai thực hiện việc cấp Giấy chứng nhận quyền sử dụng đất, quyền sở hữu tài sản gắn liền với đất cho bên nhận chuyển nhượng; Chủ đầu tư dự án chịu trách nhiệm về việc nhà ở, công trình xây dựng, hạng mục công trình xây dựng đủ điều kiện đưa vào kinh doanh theo quy định của pháp luật về kinh doanh bất động sản và quy định khác của pháp luật có liên quan; Văn phòng đăng ký đất đai chịu trách nhiệm kiểm tra việc đủ điều kiện thực hiện quyền của người sử dụng đất theo quy định của pháp luật về đất đai.

14. Trường hợp thửa đất có nhiều loại đất, nhiều hình thức trả tiền sử dụng đất, tiền thuê đất, nhiều thời hạn sử dụng đất khác nhau mà người sử dụng đất xác định được ranh giới hoặc hồ sơ địa chính thể hiện được ranh giới giữa các phần diện tích đất thì thể hiện ranh giới giữa các phần diện tích đất bằng đường nét đứt xen nét chấm, kèm theo ghi chú thích theo mục đích của đường ranh giới đó trên sơ đồ thửa đất của Giấy chứng nhận quyền sử dụng đất, quyền sở hữu tài sản gắn liền với đất.”.

6. Bổ sung khoản 4 vào sau khoản 3 Điều 24 như sau:

 “4. Trường hợp hộ gia đình, cá nhân đã được cấp giấy chứng nhận đối với một phần diện tích của thửa đất, phần diện tích còn lại chưa đủ điều kiện cấp giấy chứng nhận theo quy định của pháp luật tại thời điểm cấp giấy chứng nhận trước đây mà nay đủ điều kiện cấp Giấy chứng nhận quyền sử dụng đất, quyền sở hữu tài sản gắn liền với đất thì được xem xét cấp Giấy chứng nhận quyền sử dụng đất, quyền sở hữu tài sản gắn liền với đất.”.

7. Sửa đổi, bổ sung điểm a và điểm b khoản 6 Điều 25 như sau:

 “a) Thực hiện trình tự, thủ tục cấp Giấy chứng nhận quyền sử dụng đất, quyền sở hữu tài sản gắn liền với đất lần đầu đối với trường hợp chưa được cấp giấy chứng nhận;

b) Thực hiện trình tự, thủ tục đăng ký biến động đất đai, tài sản gắn liền với đất đối với trường hợp đã được cấp giấy chứng nhận;”.

8. Bổ sung Điều 64a vào sau Điều 64 như sau:

 “Điều 64a. Thuê dịch vụ vận hành, duy trì hệ thống thông tin đất đai ở địa phương

1. Nội dung thuê dịch vụ công nghệ thông tin phục vụ quản lý, vận hành, cập nhật cơ sở dữ liệu đất đai gồm:

a) Hạ tầng kỹ thuật công nghệ thông tin theo quy định tại khoản 1 Điều 164 của Luật Đất đai;

b) Phần mềm phục vụ công tác vận hành, cập nhật cơ sở dữ liệu đất đai của hệ thống thông tin quốc gia về đất đai theo quy định tại khoản 2 Điều 164 của Luật Đất đai.

2. Ủy ban nhân dân cấp tỉnh căn cứ nhu cầu thực tế của địa phương, các dịch vụ công nghệ thông tin sẵn có trên thị trường và phương thức thuê dịch vụ vận hành, duy trì hệ thống thông tin đất đai theo tài khoản người dùng hoặc theo đơn vị hành chính để xây dựng dự toán, lựa chọn đơn vị cung cấp dịch vụ.

3. Việc thuê dịch vụ quy định tại khoản 1 và khoản 2 Điều này không làm phát sinh hoặc thay đổi quyền sở hữu dữ liệu; đảm bảo an ninh, an toàn và bảo mật dữ liệu thông tin.”.

Điều 13. Sửa đổi, bổ sung một số điều của Nghị định số 102/2024/NĐ-CP ngày 30 tháng 7 năm 2024 của Chính phủ quy định chi tiết thi hành một số điều của Luật Đất đai (được sửa đổi, bổ sung tại Nghị định số 151/2025/NĐ-CP, Nghị định số 226/2025/NĐ-CP)

1. Sửa đổi, bổ sung khoản 1 Điều 5 như sau:

 “1. Đất ở là đất làm nhà ở và các mục đích khác phục vụ cho đời sống trong cùng một thửa đất. Đất ở bao gồm đất ở tại nông thôn, đất ở tại đô thị, cụ thể như sau:

a) Đất ở tại nông thôn là đất ở thuộc phạm vi địa giới đơn vị hành chính xã và đặc khu mà chính quyền địa phương ở đặc khu thực hiện các nhiệm vụ, quyền hạn tương ứng của chính quyền địa phương ở xã, trừ đất ở thuộc khu vực thực hiện dự án xây dựng đô thị mới theo quy hoạch đô thị đã được cấp có thẩm quyền phê duyệt nhưng vẫn thuộc địa giới đơn vị hành chính xã, đặc khu tương ứng của chính quyền địa phương ở xã;

b) Đất ở tại đô thị là đất ở thuộc phạm vi địa giới đơn vị hành chính phường và đặc khu mà chính quyền địa phương ở đặc khu thực hiện các nhiệm vụ, quyền hạn tương ứng của chính quyền địa phương ở phường, đất ở nằm trong phạm vi địa giới đơn vị hành chính xã, đặc khu tương ứng của chính quyền địa phương ở xã thuộc khu vực thực hiện dự án xây dựng đô thị mới theo quy hoạch đô thị đã được cấp có thẩm quyền phê duyệt.”.

2. Sửa đổi, bổ sung một số điểm, khoản của Điều 28 như sau:

a) Bổ sung điểm g1 vào sau điểm g khoản 1 như sau:

 “g1) Tiến độ thu hồi đất, bồi thường, hỗ trợ, tái định cư;”.

b) Bổ sung khoản 1a vào sau khoản 1 như sau:

 “1a. Cơ quan, người có thẩm quyền phê duyệt, điều chỉnh kế hoạch thu hồi đất.

Việc phê duyệt, điều chỉnh kế hoạch thu hồi đất được thực hiện khi thực hiện trình tự, thủ tục bồi thường, hỗ trợ, tái định cư, thu hồi đất.”.

c) Bổ sung khoản 3 vào sau khoản 2 như sau:

 “3. Trường hợp đang thực hiện hoặc đã hoàn thành một số bước công việc trong trình tự, thủ tục thu hồi đất, bồi thường, hỗ trợ, tái định cư nhưng chưa ban hành quyết định thu hồi đất mà thông báo thu hồi đất hết hiệu lực thì ban hành lại thông báo thu hồi đất và tiếp tục thực hiện các thủ tục tiếp theo trong trình tự, thủ tục bồi thường, hỗ trợ, tái định cư, thu hồi đất.

Việc quyết định thu hồi đất theo thông báo thu hồi đất ban hành lại không phải áp dụng yêu cầu về thời gian quy định tại điểm a khoản 9 Điều 3 của Nghị quyết số 254/2025/QH15.”.

3. Bổ sung khoản 3a vào sau khoản 3 Điều 31 như sau:

 “3a. Việc công khai thông tin vi phạm và công khai việc khắc phục vi phạm pháp luật đất đai thực hiện như sau:

a) Công khai về thông tin vi phạm và công khai việc khắc phục vi phạm pháp luật đất đai đối với trường hợp vi phạm quy định tại Điều 81 của Luật Đất đai và Nghị định của Chính phủ quy định về xử phạt vi phạm hành chính trong lĩnh vực đất đai;

b) Nội dung công khai, gồm: Người sử dụng đất vi phạm, địa chỉ đất vi phạm, hành vi vi phạm, diện tích đất vi phạm, văn bản của cơ quan, người có thẩm quyền đã xử lý hành vi vi phạm. Đối với trường hợp công khai việc khắc phục vi phạm pháp luật đất đai thì phải có văn bản chứng minh đã khắc phục xong hành vi vi phạm;

c) Trong thời gian không quá 03 ngày làm việc kể từ ngày có văn bản phát hiện hành vi vi phạm, văn bản chứng minh đã khắc phục xong hành vi vi phạm thì cơ quan, người có thẩm quyền xử lý vi phạm có trách nhiệm lập danh sách, nội dung thông tin các trường hợp vi phạm và khắc phục vi phạm quy định tại điểm b khoản này gửi về Ủy ban nhân dân cấp tỉnh để công khai.

Trong thời gian không quá 03 ngày làm việc kể từ ngày nhận được danh sách, Ủy ban nhân dân cấp tỉnh có trách nhiệm công khai trên Cổng thông tin điện tử của Ủy ban nhân dân tỉnh và được kết nối, đồng bộ với Cổng thông tin điện tử Bộ Nông nghiệp và Môi trường; cập nhật trong cơ sở dữ liệu quốc gia về đất đai.

Trường hợp chưa kết nối, đồng bộ giữa Cổng thông tin điện tử của Ủy ban nhân dân tỉnh với Cổng thông tin điện tử Bộ Nông nghiệp và Môi trường thì Ủy ban nhân dân tỉnh gửi danh sách, nội dung thông tin vi phạm và khắc phục vi phạm để Bộ Nông nghiệp và Môi trường đăng trên Cổng thông tin điện tử của Bộ Nông nghiệp và Môi trường.”.

4. Bổ sung Điều 44a vào sau Điều 44 như sau:

 “Điều 44a. Việc giao đất, cho thuê đất, điều chỉnh quyết định giao đất, cho thuê đất, cho phép chuyển mục đích sử dụng đất

1. Việc điều chỉnh quyết định giao đất, cho thuê đất, cho phép chuyển mục đích sử dụng đất thực hiện trong các trường hợp sau đây:

a) Khi có văn bản của cơ quan nhà nước có thẩm quyền có nội dung làm thay đổi căn cứ quyết định giao đất, cho thuê đất, cho phép chuyển mục đích sử dụng đất quy định tại các khoản 1, 2, 3, 4 và 5 Điều 116 của Luật Đất đai;

b) Trường hợp có sai sót về ranh giới, vị trí, diện tích, mục đích sử dụng giữa bản đồ quy hoạch, bản đồ địa chính, quyết định giao đất, cho thuê đất, cho phép chuyển mục đích sử dụng đất và số liệu bàn giao đất trên thực địa.

2. Trường hợp giao đất để thực hiện bồi thường bằng đất hoặc hỗ trợ tái định cư khi Nhà nước thu hồi đất quy định tại khoản 4 Điều 119 và điểm l khoản 3 Điều 124 của Luật Đất đai thì thực hiện theo phương án bồi thường, hỗ trợ, tái định cư được cơ quan nhà nước có thẩm quyền phê duyệt.

Việc giao đất, cho thuê đất đối với trường hợp quy định tại điểm m khoản 3 Điều 124 của Luật Đất đai cho người sử dụng đất bị thu hồi đất sản xuất, kinh doanh theo quy định tại Điều 78 và Điều 79 của Luật Đất đai phải di dời cơ sở sản xuất, kinh doanh thì được áp dụng đối với tất cả các loại đất mà tại thời điểm thu hồi đất còn thời hạn sử dụng đất và người sử dụng đất có nhu cầu sử dụng đất tại vị trí khác để tiếp tục sản xuất, kinh doanh.

3. Việc xác định các trường hợp được miễn, giảm; trình tự, thủ tục giảm tiền sử dụng đất, tiền thuê đất để thực hiện giao đất, cho thuê đất thực hiện theo quy định của pháp luật về tiền sử dụng đất, tiền thuê đất.”.

5. Bổ sung khoản 4a vào sau khoản 4 Điều 54 như sau:

 “4a. Trường hợp đất đưa ra đấu giá quyền sử dụng đất 02 lần không thành mà tiếp tục tổ chức đấu giá lại thì được xác định lại giá khởi điểm theo quy định tại Nghị quyết số 254/2025/QH15 và các nghị định quy định chi tiết thi hành Nghị quyết số 254/2025/QH15.”.

6. Sửa đổi, bổ sung một số điểm của Điều 55 như sau:

a) Sửa đổi, bổ sung điểm c khoản 1 như sau:

 “c) Phải nộp tiền đặt trước theo quy định của pháp luật về đấu giá tài sản;”;

b) Sửa đổi, bổ sung điểm d khoản 3 như sau:

 “d) Đối tượng và điều kiện được tham gia đấu giá. Tiêu chí đánh giá năng lực, kinh nghiệm trong việc phát triển dự án đối với trường hợp quy định tại khoản 3 Điều 125 của Luật Đất đai phải phù hợp với dự án đầu tư và tình hình thực tế của địa phương;”;

c) Sửa đổi, bổ sung khoản 4 như sau:

 “4. Cơ quan có chức năng quản lý đất đai kiểm tra, hoàn thiện hồ sơ trình Chủ tịch Ủy ban nhân dân cùng cấp có thẩm quyền giao đất, cho thuê đất phê duyệt phương án đấu giá quyền sử dụng đất.”.

7. Bổ sung điểm d vào sau điểm c khoản 3 Điều 61 như sau:

 “d) Đối với các dự án trước ngày 01 tháng 01 năm 2026 đã có văn bản chấp thuận của Ủy ban nhân dân cấp tỉnh về việc thỏa thuận nhận quyền sử dụng đất để thực hiện dự án hoặc văn bản chấp thuận của cơ quan nhà nước có thẩm quyền cho phép nhận chuyển quyền sử dụng đất để thực hiện dự án và dự án đó đã có quyết định chấp thuận chủ trương đầu tư đồng thời với chấp thuận nhà đầu tư hoặc đã có quyết định chấp thuận nhà đầu tư mà nay thuộc trường hợp Nhà nước thu hồi đất quy định tại Điều 79 của Luật Đất đai thì Nhà nước thu hồi đất đối với phần diện tích chưa thỏa thuận được để tiếp tục thực hiện dự án.”.

8. Sửa đổi, bổ sung khoản 3 Điều 63 như sau:

 “3. Việc xác định hệ số điều chỉnh giá đất tại điểm b, điểm c khoản 1 và điểm b, điểm c khoản 2 Điều này thực hiện theo quy định tại Nghị định số 71/2024/NĐ-CP (được sửa đổi, bổ sung tại Nghị định số 226/2025/NĐ-CP). Trường hợp không có đủ thông tin để xác định hệ số điều chỉnh giá đất tại thời điểm bàn giao đất trên thực tế theo quy định thì đơn vị tư vấn xác định giá đất cụ thể theo các phương pháp xác định giá đất khác quy định tại Nghị định số 71/2024/NĐ-CP (được sửa đổi, bổ sung tại Nghị định số 226/2025/NĐ-CP), báo cáo Hội đồng thẩm định giá đất cụ thể xem xét, quyết định.

Trường hợp kết quả xác định giá đất cụ thể thấp hơn giá đất trong bảng giá đất tại thời điểm bàn giao đất trên thực tế thì giá đất được áp dụng theo bảng giá đất.”.

9. Bổ sung Điều 63a vào sau Điều 63 như sau:

 “Điều 63a. Các trường hợp bất khả kháng khi gia hạn sử dụng đất quy định tại khoản 3 Điều 172 của Luật Đất đai

1. Trường hợp bất khả kháng quy định tại các điểm a, b, c, d, đ, e và g khoản 1 Điều 31 của Nghị định số 102/2024/NĐ-CP.

2. Trường hợp người sử dụng đất đã nộp hồ sơ xin gia hạn theo quy định tại khoản 1 Điều 64 của Nghị định số 102/2024/NĐ-CP hoặc đã nộp hồ sơ xin gia hạn theo quy định của Nghị định số 151/2025/NĐ-CP nhưng hết thời hạn sử dụng đất mà chưa có quyết định gia hạn sử dụng đất hoặc chưa có quyết định thu hồi đất.”.

10. Bổ sung Điều 72a vào sau Điều 72 như sau:

 “Điều 72a. Giao đất, cho thuê đất, giao khu vực biển để thực hiện hoạt động lấn biển

1. Trường hợp giao đất, cho thuê đất thông qua đấu giá quyền sử dụng đất để thực hiện dự án đầu tư lấn biển hoặc dự án đầu tư có hạng mục lấn biển thì trình tự, thủ tục thực hiện theo quy định tại Điều 55 của Nghị định này.

2. Cơ quan, người có thẩm quyền quyết định giao đất, cho thuê đất đồng thời với giao khu vực biển để thực hiện hoạt động lấn biển. Chủ đầu tư dự án đầu tư lấn biển hoặc dự án đầu tư có hạng mục lấn biển không phải nộp tiền sử dụng khu vực biển để thực hiện hoạt động lấn biển.

3. Thời điểm xác định người sử dụng đất phải đưa đất vào sử dụng tính từ ngày có thông báo chấp thuận kết quả nghiệm thu đối với toàn bộ hoặc từng phần diện tích đã hoàn thành hoạt động lấn biển theo tiến độ của dự án đầu tư lấn biển hoặc hạng mục lấn biển trong dự án đầu tư.”.

11. Sửa đổi, bổ sung một số điểm, khoản của Điều 87 như sau:

a) Sửa đổi, bổ sung công thức tính tiền sử dụng đất hằng năm khi sử dụng đất quốc phòng, an ninh kết hợp với hoạt động lao động sản xuất, xây dựng kinh tế được xác định quy định tại khoản 1 như sau:

Tiền sử dụng đất hằng năm = Diện tích đất sử dụng kết hợp với hoạt động lao động sản xuất, xây dựng kinh tế theo phương án được phê duyệt x Giá đất theo bảng giá đất x Hệ số điều chỉnh giá đất x Tỷ lệ % đơn giá sử dụng đất hằng năm x Tỷ lệ % doanh thu ngoài nhiệm vụ quân sự, quốc phòng, an ninh hằng năm;

b) Sửa đổi, bổ sung điểm a khoản 1 như sau:

 “a) Diện tích đất sử dụng kết hợp với hoạt động lao động sản xuất, xây dựng kinh tế không bao gồm các diện tích: Đường giao thông nội bộ, nhà ăn, nhà bếp, nhà ở, nhà làm việc (trừ nhà làm việc của doanh nghiệp nhà nước do Bộ Quốc phòng, Bộ Công an được giao quản lý), nhà bảo vệ, nhà để xe, khuôn viên cây xanh, hành lang an toàn, bãi thử vũ khí, khu vực huấn luyện, đường lăn, sân đỗ máy bay, đường cất hạ cánh, khu vực, nhà chứa máy bay, nhà ga, đất phục vụ tĩnh không sân bay, công trình phục vụ tuần tra, bảo vệ sân bay, đài chỉ huy sân bay và các công trình thiết yếu khác phục vụ hoạt động khai thác bay, khu thể dục thể thao, nhà truyền thống, nhà văn hóa, nhà sinh hoạt cộng đồng, nhà trẻ, mẫu giáo, đội sản xuất, khu vườn ươm, nhà khách, nhà nghỉ cho cán bộ, công nhân viên chức, nhà ở cho công nhân và các diện tích khác không tạo ra lợi nhuận;”;

c) Bổ sung khoản 5 vào sau khoản 4 như sau:

 “5. Trường hợp đến ngày 01 tháng 01 năm 2026 mà phương án sử dụng đất quốc phòng, an ninh kết hợp với hoạt động lao động sản xuất, xây dựng kinh tế đã được phê duyệt nhưng chưa tính tiền sử dụng đất hằng năm thì tiền sử dụng đất hằng năm được tính theo công thức quy định của pháp luật tại thời điểm phê duyệt phương án sử dụng đất.”.

12. Sửa đổi, bổ sung một số điểm tại khoản 2 của Điều 99 như sau:

a) Sửa đổi, bổ sung điểm b như sau:

 “b) Diện tích đất sử dụng vào mục đích kết hợp không quá 50% diện tích đất sử dụng vào mục đích chính. Điều kiện quy định tại điểm này không áp dụng đối với đất ở sử dụng kết hợp đa mục đích, các loại đất kết hợp mục đích hoạt động khoáng sản;”;

b) Sửa đổi, bổ sung điểm d như sau:

 “d) Việc xây dựng, cải tạo công trình để sử dụng vào mục đích kết hợp phải phù hợp với quy định của pháp luật về xây dựng hoặc quy định của pháp luật khác có liên quan;”.

Chương IV

SỬA ĐỔI, BỔ SUNG QUY ĐỊNH VỀ PHÂN CẤP, PHÂN QUYỀN, PHÂN ĐỊNH THẨM QUYỀN TRONG LĨNH VỰC ĐẤT ĐAI

Điều 14. Phân cấp thẩm quyền cho Ủy ban nhân dân cấp tỉnh thực hiện trong lĩnh vực đất đai

1. Ủy ban nhân dân cấp tỉnh có thẩm quyền quyết định về thu hồi đất, bồi thường, hỗ trợ, tái định cư, giao đất, cho thuê đất, cho phép chuyển mục đích sử dụng đất, điều chỉnh thời hạn sử dụng đất, gia hạn sử dụng đất, chuyển hình thức sử dụng đất, công nhận quyền sử dụng đất, chấp thuận về việc thỏa thuận nhận quyền sử dụng đất để thực hiện dự án, chấp thuận, phê duyệt phương án sử dụng đất.

Căn cứ Luật Tổ chức chính quyền địa phương, Nghị quyết số 190/2025/QH15 của Quốc hội về xử lý một số vấn đề liên quan đến sắp xếp tổ chức bộ máy nhà nước và tình hình thực tế của địa phương, Ủy ban nhân dân cấp tỉnh quyết định việc phân cấp, ủy quyền cho cơ quan, người có thẩm quyền thực hiện đối với các nhiệm vụ quy định tại khoản này cho phù hợp.

2. Quy định về thẩm quyền cấp Giấy chứng nhận quyền sử dụng đất, quyền sở hữu tài sản gắn liền với đất, xác nhận thay đổi trên giấy chứng nhận đã cấp, đính chính, thu hồi, hủy giấy chứng nhận đã cấp:

a) Cơ quan có chức năng quản lý đất đai cấp tỉnh cấp Giấy chứng nhận quyền sử dụng đất, quyền sở hữu tài sản gắn liền với đất hoặc xác nhận thay đổi trên giấy chứng nhận đã cấp đối với trường hợp cơ quan, người có thẩm quyền cấp tỉnh quyết định giao đất, cho thuê đất, cho phép chuyển mục đích sử dụng đất, điều chỉnh thời hạn sử dụng đất, gia hạn sử dụng đất, chuyển hình thức sử dụng đất, công nhận quyền sử dụng đất;

b) Chủ tịch Ủy ban nhân dân cấp xã cấp Giấy chứng nhận quyền sử dụng đất, quyền sở hữu tài sản gắn liền với đất hoặc xác nhận thay đổi trên giấy chứng nhận đã cấp đối với trường hợp cơ quan, người có thẩm quyền cấp xã quyết định giao đất, cho thuê đất, cho phép chuyển mục đích sử dụng đất, điều chỉnh thời hạn sử dụng đất, gia hạn sử dụng đất, chuyển hình thức sử dụng đất, công nhận quyền sử dụng đất, xác định lại diện tích đất ở;

c) Văn phòng đăng ký đất đai cấp Giấy chứng nhận quyền sử dụng đất, quyền sở hữu tài sản gắn liền với đất hoặc xác nhận thay đổi trên giấy chứng nhận đã cấp hoặc đăng ký đất đai lần đầu, đăng ký biến động đối với trường hợp không thuộc quy định tại điểm a và điểm b khoản này;

d) Cơ quan có thẩm quyền cấp Giấy chứng nhận quyền sử dụng đất, quyền sở hữu tài sản gắn liền với đất quy định tại các điểm a, b và c khoản này có thẩm quyền đính chính giấy chứng nhận đã cấp có sai sót; thu hồi, hủy giấy chứng nhận đã cấp và cấp lại Giấy chứng nhận quyền sử dụng đất, quyền sở hữu tài sản gắn liền với đất.

3. Các trường hợp đang thực hiện thu hồi đất, bồi thường, hỗ trợ, tái định cư, giao đất, cho thuê đất, cho phép chuyển mục đích sử dụng đất, điều chỉnh thời hạn sử dụng đất, gia hạn sử dụng đất, chuyển hình thức sử dụng đất, công nhận quyền sử dụng đất, chấp thuận về việc thỏa thuận nhận quyền sử dụng đất để thực hiện dự án, chấp thuận, phê duyệt phương án sử dụng đất, cấp Giấy chứng nhận quyền sử dụng đất, quyền sở hữu tài sản gắn liền với đất, xác nhận thay đổi trên giấy chứng nhận đã cấp, đính chính, thu hồi, hủy giấy chứng nhận đã cấp, xác định lại diện tích đất ở trước ngày Nghị định này có hiệu lực thi hành thì Ủy ban nhân dân cấp tỉnh quyết định áp dụng thực hiện theo quy định tại khoản 1 và khoản 2 Điều này hoặc tiếp tục giao cho cơ quan, người có thẩm quyền đang giải quyết tiếp tục thực hiện.

Điều 15. Quy định trình tự, thủ tục hành chính về đất đai

1. Ủy ban nhân dân cấp tỉnh quy định trình tự, thủ tục hành chính về đất đai để thực hiện các trường hợp quy định tại Điều 14 của Nghị định này chậm nhất đến ngày 01 tháng 7 năm 2026, bảo đảm cắt giảm, đơn giản hóa thủ tục hành chính theo quy định; trong đó quy định rõ trách nhiệm của cơ quan, người có thẩm quyền trong các bước thực hiện trình tự, thủ tục, thời gian tối đa thực hiện trình tự, thủ tục, thành phần hồ sơ phải nộp, trong đó có giấy tờ chứng minh đối tượng được miễn, giảm nghĩa vụ tài chính (nếu có), các mẫu thực hiện thủ tục phải quy định các thông tin để xác định nghĩa vụ tài chính về đất đai. Trong thời gian chưa ban hành quy định về trình tự, thủ tục hành chính về đất đai quy định tại khoản này thì Ủy ban nhân dân cấp tỉnh quyết định việc áp dụng trình tự, thủ tục hành chính về đất đai theo quy định của pháp luật trước ngày Nghị định này có hiệu lực thi hành hoặc quyết định trình tự, thủ tục hành chính về đất đai đối với từng trường hợp cụ thể.

2. Quy định về trình tự, thủ tục hành chính về đất đai quy định tại khoản 1 Điều này phải đăng công khai trên Cổng thông tin điện tử của Ủy ban nhân dân cấp tỉnh và Cổng thông tin điện tử của Bộ Nông nghiệp và Môi trường.

3. Thực hiện trình tự, thủ tục xây dựng, sửa đổi, bổ sung bảng giá đất và trình tự, thủ tục xây dựng, sửa đổi, bổ sung hệ số điều chỉnh giá đất theo quy định tại Phụ lục của Nghị định này.

Chương V

TỔ CHỨC THỰC HIỆN

Điều 16. Hiệu lực thi hành

1. Nghị định này có hiệu lực thi hành từ ngày 31 tháng 01 năm 2026.

2. Chương IV Nghị định này được thực hiện đến trước ngày 01 tháng 3 năm 2027. Trường hợp các văn bản quy phạm pháp luật có liên quan đã được sửa đổi, bổ sung, ban hành mới để phù hợp với việc tổ chức chính quyền 02 cấp thì thực hiện theo các văn bản quy phạm pháp luật mới được ban hành.

Các quy định về giá đất, về giá bán nhà ở tái định cư, về trưng dụng đất không quy định tại Nghị định này thì tiếp tục thực hiện theo Nghị định số 151/2025/NĐ-CP (được sửa đổi, bổ sung bởi Nghị định số 226/2025/NĐ-CP).

3. Các quy định sau đây hết hiệu lực kể từ ngày Nghị định này có hiệu lực thi hành:

a) Điều 11; khoản 1 Điều 12; các Điều 16, 17, 24, 25, 26, 27, 28, 29 và 37; điểm a khoản 1 Điều 38 của Nghị định số 71/2024/NĐ-CP;

b) Khoản 3 Điều 18; điểm d khoản 1 và điểm d khoản 2 Điều 24; khoản 3 và khoản 4 Điều 65 của Nghị định số 101/2024/NĐ-CP;

c) Khoản 2 Điều 30; Điều 32; Điều 33; Điều 34; Điều 50; khoản 5 Điều 54 và Điều 65 của Nghị định số 102/2024/NĐ-CP;

d) Khoản 4 Điều 77 của Nghị định số 102/2024/NĐ-CP (đã được sửa đổi, bổ sung tại khoản 12 Điều 4 của Nghị định số 226/2025/NĐ-CP);

đ) Các điều, khoản, điểm của Nghị định số 151/2025/NĐ-CP, bao gồm:

đ1) Điều 4; khoản 3 và điểm c khoản 4 Điều 7; khoản 3 Điều 8; Điều 10, Điều 11; khoản 3 và khoản 5 Điều 12; các điểm b, c, d và e khoản 1, điểm đ khoản 2 Điều 14; điểm b khoản 1 và điểm e, g khoản 2 Điều 17; Điều 19; Điều 20; đ2) Điều 5, trừ các điểm i khoản 1, điểm g khoản 2 và điểm d khoản 5; đ3) Điều 9, trừ khoản 3, điểm i và điểm m khoản 4;

e) Các Phụ lục của Nghị định số 151/2025/NĐ-CP, bao gồm:

e1) Phụ lục I, trừ các nội dung sau:

Khoản 6 Mục I Phần III;

Phần IV; Phần VI; Phần VIII;

Điểm b và điểm c khoản 3 Mục II, điểm b và điểm c khoản 4 Mục III, điểm b khoản 3 Mục VI, khoản 1 Mục VII, khoản 1 và nội dung tại tên khoản 2 Mục XI, khoản 1 Mục XIII, khoản 1 Mục XVI nội dung C Phần V;

e2) Phụ lục II, trừ các mẫu số: 14, 14a, 14b, 14c, 14d, 14đ, 28, 29, 30, 31, 32, 33, 34, 35, 36, 37, 38, 39, 40, 41, 42 và 43;

g) Các điều, khoản, điểm và Phụ lục của Nghị định số 226/2025/NĐ-CP, bao gồm:

g1) Khoản 12 Điều 1; khoản 1 Điều 3; các khoản 3, 4, 7, 8 và điểm b khoản 9, khoản 11, 13 và 15 Điều 4; các khoản 1, 2 và 3, điểm a và điểm b khoản 4, khoản 5 Điều 6; gạch đầu dòng thứ 1, gạch đầu dòng thứ 7 điểm a khoản 2, điểm a khoản 4 Điều 7; các gạch đầu dòng thứ 4, 6, 8, 11 và 12 điểm a khoản 3, khoản 6 Điều 7;

g2) Phụ lục IV.

4. Thay thế các cụm từ sau đây:

a) Cụm từ “quy định tại Mục 7 Phần XV của “Phần C. TRÌNH TỰ, THỦ TỤC ĐĂNG KÝ ĐẤT ĐAI, TÀI SẢN GẮN LIỀN VỚI ĐẤT” này” bằng cụm từ “đối với trường hợp giấy chứng nhận cấp cho nhiều thửa đất mà có một hoặc một số thửa đất bị thu hồi giấy chứng nhận theo quy định” tại khoản 1 Mục VII nội dung C Phần V Phụ lục I của Nghị định số 151/2025/NĐ-CP;

b) Cụm từ “điểm d Mục 1 Phần I của “Phần B. HỒ SƠ THỰC HIỆN THỦ TỤC ĐĂNG KÝ ĐẤT ĐAI, TÀI SẢN GẮN LIỀN VỚI ĐẤT” bằng cụm từ “khoản 4 Điều 45 của Luật Đất đai” tại khoản 1 Mục XI nội dung C Phần V Phụ lục I của Nghị định số 151/2025/NĐ-CP.

Điều 17. Quy định chuyển tiếp về giá đất

1. Kể từ ngày Nghị định này có hiệu lực thi hành, Hội đồng thẩm định bảng giá đất, thẩm định hệ số điều chỉnh giá đất thực hiện thay Hội đồng thẩm định bảng giá đất quy định tại Nghị định số 71/2024/NĐ-CP.

Các trường hợp đang xác định giá đất cụ thể trước ngày Nghị định này có hiệu lực thi hành mà tiếp tục áp dụng xác định giá đất cụ thể thì thực hiện theo quy định của Luật Đất đai và Nghị định số 71/2024/NĐ-CP (được sửa đổi, bổ sung tại Nghị định số 151/2025/NĐ-CP, Nghị định số 226/2025/NĐ-CP).

2. Quy định tại khoản 7 Điều 11 của Nghị quyết số 254/2025/QH15 được áp dụng cho trường hợp đã được cơ quan nhà nước có thẩm quyền giao đất, cho thuê đất hoặc chưa giao đất, cho thuê đất.

Điều 18. Quy định chuyển tiếp về quy hoạch, kế hoạch sử dụng đất; giao đất, cho thuê đất

1. Phương án phân bổ và khoanh vùng đất đai trong quy hoạch tỉnh thời kỳ 2021 – 2030, tầm nhìn đến năm 2050 đã được phê duyệt thì tiếp tục áp dụng để thực hiện công tác quản lý đất đai cho đến hết kỳ quy hoạch. Việc điều chỉnh phương án phân bổ và khoanh vùng đất đai trong quy hoạch tỉnh thời kỳ 2021 – 2030, tầm nhìn đến năm 2050 được xác định theo quy định tại điểm b khoản 2 Điều 65 của Luật Đất đai và được phân bổ đến từng đơn vị hành chính cấp xã khi thực hiện điều chỉnh quy hoạch tỉnh theo quy định của pháp luật về quy hoạch.

2. Trường hợp người sử dụng đất được cho thuê đất từ ngày 01 tháng 7 năm 2025 đến trước ngày Nghị định này có hiệu lực thi hành mà chưa ký hợp đồng thuê đất thì được ký hợp đồng thuê đất nếu có nhu cầu.

3. Trường hợp trước ngày Nghị định này có hiệu lực thi hành mà đã đưa ra đấu giá quyền sử dụng đất 02 lần không thành thì tiếp tục thực hiện theo quy định của pháp luật về đấu giá tài sản. Giá khởi điểm để đấu giá là giá theo bảng giá đất, hệ số điều chỉnh giá đất được ban hành theo quy định tại Nghị định này.

Điều 19. Quy định chuyển tiếp về thu hồi đất, bồi thường, hỗ trợ, tái định cư

1. Trường hợp đã có quyết định thu hồi đất và quyết định phê duyệt phương án bồi thường, hỗ trợ, tái định cư trước ngày Nghị định này có hiệu lực thi hành thì tiếp tục thực hiện theo phương án bồi thường, hỗ trợ, tái định cư đã phê duyệt.

2. Trường hợp trước ngày Nghị định này có hiệu lực thi hành mà chưa có quyết định phê duyệt phương án bồi thường, hỗ trợ, tái định cư thì thực hiện việc bồi thường, hỗ trợ, tái định cư, thu hồi đất theo quy định của Luật Đất đai, Nghị quyết số 254/2025/QH15 và Nghị định này.

Đối với dự án còn một phần diện tích đất chưa phê duyệt phương án bồi thường, hỗ trợ, tái định cư trước ngày Nghị định này có hiệu lực thi hành thì trong trường hợp cần thiết, Ủy ban nhân dân cấp tỉnh xem xét, quyết định lựa chọn áp dụng một trong các quy định của pháp luật sau đây để phê duyệt phương án bồi thường, hỗ trợ, tái định cư:

a) Quy định của pháp luật tại thời điểm đã phê duyệt phương án bồi thường, hỗ trợ, tái định cư;

b) Quy định của pháp luật tại thời điểm Luật Đất đai có hiệu lực thi hành;

c) Quy định của pháp luật có hiệu lực từ ngày Nghị định này có hiệu lực thi hành.

3. Trường hợp thông báo thu hồi đất ban hành theo quy định của Luật Đất đai còn hiệu lực sau ngày Nghị định này có hiệu lực thi hành thì tiếp tục thực hiện theo thông báo thu hồi đất đã ban hành.

Điều 20. Quy định về đăng ký đất đai, cấp Giấy chứng nhận

1. Trường hợp giấy chứng nhận về quyền sử dụng đất đã cấp cho hộ gia đình, cá nhân trước ngày 01 tháng 8 năm 2024 mà ghi thời hạn sử dụng đất nông nghiệp là lâu dài hoặc không thể hiện thời hạn sử dụng đất thì khi thực hiện đăng ký biến động đất đai, thời hạn sử dụng đất được xác định lại là 50 năm kể từ ngày cơ quan có thẩm quyền xác nhận thay đổi trên giấy chứng nhận đã cấp hoặc cấp mới Giấy chứng nhận quyền sử dụng đất, quyền sở hữu tài sản gắn liền với đất.

2. Giấy chứng nhận quyền sử dụng đất đã cấp trước ngày 01 tháng 7 năm 2004 không thuộc trường hợp quy định tại khoản 6 Điều 141 của Luật Đất đai và chưa xác định cụ thể diện tích đất ở mà được thể hiện chung đất ở với đất khác, ví dụ như “thổ cư”, “thổ tập trung”, “làm nhà ở”, “đất ở + vườn”, “T”, “TV”, “TQ”, “TTT” thì giải quyết như sau:

a) Ủy ban nhân dân cấp tỉnh căn cứ quy định của pháp luật về đất đai qua các thời kỳ, quá trình quản lý, sử dụng đất và điều kiện thực tế ở địa phương để quy định việc xác định diện tích đất ở, quy định các trường hợp khác chưa xác định cụ thể diện tích đất ở trên giấy chứng nhận đã cấp để áp dụng quy định tại khoản này;

b) Đối với giấy chứng nhận quyền sử dụng đất quy định tại khoản này đã được xác nhận thay đổi trên giấy chứng nhận hoặc trường hợp người nhận chuyển quyền sử dụng toàn bộ thửa đất đã được cấp giấy chứng nhận mới từ ngày 01 tháng 7 năm 2004 trở về sau nhưng trên giấy chứng nhận chưa xác định cụ thể diện tích đất ở thì thực hiện xác định diện tích đất ở theo quy định tại điểm a khoản này;

c) Trường hợp người nhận chuyển quyền sử dụng đất đã được cấp Giấy chứng nhận mới và được xác định cụ thể diện tích đất ở trên Giấy chứng nhận thì không xác định diện tích đất ở theo quy định tại khoản này;

d) Khi người sử dụng đất thực hiện thủ tục đăng ký biến động đất đai thì cơ quan có thẩm quyền cấp Giấy chứng nhận quyền sử dụng đất, quyền sở hữu tài sản gắn liền với đất có trách nhiệm thực hiện đồng thời việc xác định diện tích đất ở quy định tại khoản này. Trường hợp người sử dụng đất có nhu cầu thực hiện riêng thủ tục xác định diện tích đất ở thì thực hiện theo trình tự, thủ tục do Ủy ban nhân dân cấp tỉnh quy định.

Điều 21. Quy định chuyển tiếp về đo đạc lập bản đồ địa chính

Đối với trường hợp đã thực hiện trích đo bản đồ địa chính hoặc đo đạc chỉnh lý bản đồ địa chính để thực hiện thủ tục đất đai trước ngày Nghị định này có hiệu lực thi hành mà chưa hoàn thành việc ký xác nhận kết quả trích đo bản đồ địa chính, kết quả đo đạc chỉnh lý bản đồ địa chính thì tiếp tục thực hiện việc ký xác nhận theo quy định trước ngày Nghị định này có hiệu lực thi hành và được đưa vào sử dụng.

Điều 22. Trách nhiệm thi hành

1. Các Bộ trưởng, Thủ trưởng cơ quan ngang bộ, Thủ trưởng cơ quan thuộc Chính phủ, Chủ tịch Ủy ban nhân dân các cấp và các tổ chức, cá nhân có liên quan chịu trách nhiệm thi hành Nghị định này.

2. Trường hợp Ủy ban nhân dân cấp tỉnh quy định trách nhiệm của các cơ quan, người có thẩm quyền khi tổ chức thực hiện theo quy định của Nghị định này mà khác với quy định về trách nhiệm tại Nghị định số 151/2025/NĐ-CP và Nghị định số 226/2025/NĐ-CP thì thực hiện theo quy định của Ủy ban nhân dân cấp tỉnh.

3. Trường hợp Nghị định này và Nghị định khác có quy định khác nhau về cùng một vấn đề thì thực hiện theo quy định của Nghị định này./.

Nơi nhận:
– Ban Bí thư Trung ương Đảng;
– Thủ tướng, các Phó Thủ tướng Chính phủ;
– Các bộ, cơ quan ngang bộ, cơ quan thuộc Chính phủ;
– HĐND, UBND các tỉnh, thành phố trực thuộc trung ương;
– Văn phòng Trung ương và các Ban của Đảng;
– Văn phòng Tổng Bí thư;
– Văn phòng Chủ tịch nước;
– Hội đồng Dân tộc và các Ủy ban của Quốc hội;
– Văn phòng Quốc hội;
– Tòa án nhân dân tối cao;
– Viện kiểm sát nhân dân tối cao;
– Kiểm toán nhà nước;
– Ủy ban Trung ương Mặt trận Tổ quốc Việt Nam;
– Cơ quan trung ương của các tổ chức chính trị – xã hội;
– VPCP: BTCN, các PCN, Trợ lý TTg, TGĐ Cổng TTĐT, các Vụ, Cục, đơn vị trực thuộc, Công báo;
– Lưu: VT, NN (2b).

TM. CHÍNH PHỦ
KT. THỦ TƯỚNG
PHÓ THỦ TƯỚNG

 

 

Trần Hồng Hà

PHỤ LỤC

MỘT SỐ QUY ĐỊNH THỰC HIỆN TRÌNH TỰ, THỦ TỤC HÀNH CHÍNH VỀ ĐẤT ĐAI
(Kèm theo Nghị định số 49/2026/NĐ-CP ngày 31 tháng 01 năm 2026 của Chính phủ)

I. Về bồi thường, hỗ trợ, tái định cư, thu hồi đất

1. Bồi thường, hỗ trợ, tái định cư, thu hồi đất đối với phần diện tích còn lại không thỏa thuận được của dự án sử dụng đất thông qua thỏa thuận về nhận quyền sử dụng đất quy định tại điểm b khoản 2 và điểm d khoản 13 Điều 3 của Nghị quyết số 254/2025/QH15:

a) Trước khi thực hiện trình tự, thủ tục bồi thường, hỗ trợ, tái định cư, thu hồi đất đối với phần diện tích đất còn lại không thỏa thuận được thì cơ quan, người có thẩm quyền phải thực hiện các công việc sau đây:

a1) Tổ chức họp với người sử dụng đất, chủ sở hữu tài sản gắn liền với đất, tổ chức kinh tế, người có quyền lợi và nghĩa vụ liên quan (nếu có) để tiếp tục thỏa thuận về nhận quyền sử dụng đất.

a2) Cơ quan có chức năng quản lý về đầu tư căn cứ vào điều kiện thu hồi đất quy định tại điểm b khoản 2 Điều 3 của Nghị quyết số 254/2025/QH15 và pháp luật về đầu tư để báo cáo cấp có thẩm quyền xem xét chấp thuận chủ trương đầu tư hoặc quyết định chủ trương đầu tư hoặc chấp thuận chủ trương đầu tư đồng thời với chấp thuận nhà đầu tư hoặc quyết định chấp thuận nhà đầu tư đối với dự án thuộc diện phải chấp thuận chủ trương đầu tư hoặc quyết định chủ trương đầu tư hoặc chấp thuận chủ trương đầu tư đồng thời với chấp thuận nhà đầu tư hoặc quyết định chấp thuận nhà đầu tư theo quy định.

Việc chứng minh dự án đáp ứng điều kiện thu hồi đất (đã thoả thuận được trên 75% diện tích đất và trên 75% số lượng người sử dụng đất) thuộc trách nhiệm của tổ chức kinh tế.

b) Việc thẩm định, phê duyệt số tiền quy định tại khoản 4 Điều 3 Nghị định này thực hiện đồng thời với trình tự thẩm định, phê duyệt phương án bồi thường, hỗ trợ, tái định cư; việc chi trả số tiền này cho người sử dụng đất, chủ sở hữu tài sản gắn liền với đất thực hiện trước khi quyết định thu hồi đất.

2. Thu hồi đất, bồi thường, hỗ trợ, tái định cư quy định tại điểm a và điểm b khoản 3 Điều 3 của Nghị quyết số 254/2025/QH15:

a) Việc thu hồi đất trước khi phê duyệt phương án bồi thường, hỗ trợ, tái định cư quy định tại điểm a khoản 3 Điều 3 của Nghị quyết số 254/2025/QH15 thực hiện theo quy định tại Điều 87 của Luật Đất đai, trong đó thứ tự thực hiện một số bước công việc như sau:

a1) Đối với dự án quan trọng quốc gia mà cơ quan, người có thẩm quyền yêu cầu đấy nhanh tiến độ thực hiện hoặc dự án đầu tư công khẩn cấp thì việc quyết định thu hồi đất thực hiện sau khi kết thúc thời hạn niêm yết phương án bồi thường, hỗ trợ, tái định cư.

a2) Đối với dự án được trên 75% người sử dụng đất đồng ý thu hồi đất trước khi phê duyệt phương án bồi thường, hỗ trợ, tái định cư thì sau khi kết thúc thời hạn niêm yết phương án bồi thường, hỗ trợ, tái định cư, cơ quan, người có thẩm quyền phải xác nhận đạt số người sử dụng đất đồng ý để làm căn cứ quyết định thu hồi đất.

Việc xác định người sử dụng đất đồng ý thu hồi đất thực hiện theo quy định của Nghị định này;

b) Việc thực hiện thu hồi đất trước khi hoàn thành việc bố trí tái định cư quy định tại điểm b khoản 3 Điều 3 của Nghị quyết số 254/2025/QH15 thực hiện theo quy định tại Điều 87 của Luật Đất đai, trong đó việc quyết định thu hồi đất được thực hiện sau khi phương án bồi thường, hỗ trợ, tái định cư được phê duyệt và đã hoàn thành bố trí tạm cư hoặc chi trả kinh phí tạm cư.

c) Người có đất thu hồi, chủ sở hữu tài sản gắn liền với đất, người có quyền lợi và nghĩa vụ liên quan (nếu có) có trách nhiệm bàn giao đất theo quy định sau khi có quyết định thu hồi đất theo quy định tại điểm a và điểm b khoản này. Trường hợp người có đất thu hồi, chủ sở hữu tài sản gắn liền với đất, người có quyền lợi và nghĩa vụ liên quan (nếu có) không bàn giao đất thì thực hiện theo quy định tại khoản 7 Điều 87 của Luật Đất đai.

3. Trình tự, thủ tục thực hiện các công việc quy định tại khoản 1 và khoản 2 mục này do Ủy ban nhân dân cấp tỉnh quy định.

II. Về điều chỉnh thời hạn sử dụng đất

1. Việc điều chỉnh thời hạn sử dụng đất đối với trường hợp quy định tại khoản 7 Điều 4 của Nghị quyết số 254/2025/QH15 được thực hiện theo trình tự, thủ tục điều chỉnh thời hạn sử dụng đất của dự án đầu tư.

2. Khi thực hiện điều chỉnh thời hạn sử dụng đất đối với trường hợp quy định tại khoản 1 mục này và Điều 175 của Luật Đất đai thì không phải thực hiện thủ tục kiểm tra thực địa và bàn giao đất trên thực địa đối với trường hợp không thay đổi về vị trí, diện tích thửa đất sau khi điều chỉnh thời hạn sử dụng đất.

III. Về giá đất

1. Trình tự, thủ tục sửa đổi, bổ sung bảng giá đất quy định tại Điều 7 của Nghị quyết số 254/2025/QH15:

a) Trình tự, thủ tục sửa đổi, bổ sung bảng giá đất quy định tại khoản 2 và khoản 3 Điều 6 của Nghị định này do cơ quan có chức năng quản lý đất đai cấp tỉnh áp dụng một số hoặc toàn bộ trình tự quy định tại Điều 13 và Điều 14 của Nghị định số 71/2024/NĐ-CP (được sửa đổi, bổ sung tại Nghị định số 151/2025/NĐ-CP, Nghị định số 226/2025/NĐ-CP), báo cáo Ủy ban nhân dân cấp tỉnh để trình Hội đồng nhân dân cấp tỉnh quyết định, trừ trường hợp chỉ sửa đổi theo quy định tại khoản 2, khoản 3 mục này.

b) Trình tự, thủ tục sửa đổi bảng giá đất theo quy định tại điểm a khoản 2 Điều 6 của Nghị định này thực hiện như sau:

b1) Trong thời hạn không quá 15 ngày kể từ ngày quyết định sửa đổi, bổ sung hệ số điều chỉnh giá đất, cơ quan có chức năng quản lý đất đai cấp tỉnh báo cáo Ủy ban nhân dân cấp tỉnh xem xét, quyết định;

b2) Ủy ban nhân dân cấp tỉnh trình Hội đồng nhân dân cấp tỉnh quyết định sửa đổi bảng giá đất của loại đất tương ứng với khu vực, vị trí đã sửa đổi hệ số điều chỉnh giá đất.

c) Trình tự, thủ tục sửa đổi bảng giá đất theo quy định tại điểm b khoản 2 Điều 6 của Nghị định này thực hiện như sau:

c1) Các cơ quan, đơn vị có liên quan gửi thông tin thay đổi đến cơ quan có chức năng quản lý đất đai cấp tỉnh để tổng hợp, báo cáo Ủy ban nhân dân cấp tỉnh;

c2) Cơ quan có chức năng quản lý đất đai cấp tỉnh báo cáo Ủy ban nhân dân cấp tỉnh nội dung sửa đổi bảng giá đất để trình Hội đồng nhân dân cấp tỉnh quyết định.

2. Trình tự, thủ tục xây dựng hệ số điều chỉnh giá đất quy định tại Điều 8 của Nghị quyết số 254/2025/QH15:

a) Trình tự, thủ tục chuẩn bị xây dựng hệ số điều chỉnh giá đất thực hiện như sau:

a1) Cơ quan có chức năng quản lý đất đai cấp tỉnh tổ chức lập, trình cơ quan có thẩm quyền thẩm định, phê duyệt dự án xây dựng hệ số điều chỉnh giá đất để tổ chức thực hiện.

Quyết định phê duyệt dự án xây dựng hệ số điều chỉnh giá đất phải có các nội dung về kế hoạch tổ chức thực hiện, thời điểm thu thập thông tin, cơ quan chủ trì, cơ quan phối hợp thực hiện và các nội dung khác;

a2) Căn cứ vào điều kiện thực tế tại địa phương, cơ quan có chức năng quản lý đất đai cấp tỉnh quyết định đặt hàng, giao nhiệm vụ cho đơn vị sự nghiệp công lập đủ điều kiện hoạt động tư vấn xác định giá đất hoặc lựa chọn tổ chức tư vấn xác định giá đất theo quy định của pháp luật về đấu thầu để xây dựng hệ số điều chỉnh giá đất.

Trường hợp tổ chức đấu thầu, tại thời điểm đóng thầu không có nhà thầu nào tham dự thì được gia hạn 01 lần. Sau khi gia hạn mà không lựa chọn được nhà thầu thì cơ quan có chức năng quản lý đất đai cấp tỉnh quyết định lựa chọn tổ chức tư vấn xác định giá đất theo hình thức chỉ định thầu rút gọn.

b) Thu thập thông tin để xây dựng hệ số điều chỉnh giá đất thực hiện như sau:

b1) Thu thập thông tin đầu vào theo quy định tại điểm a và b khoản 2 Điều 4 của Nghị định số 71/2024/NĐ-CP (được sửa đổi, bổ sung tại Nghị định số 151/2025/NĐ-CP, Nghị định số 226/2025/NĐ-CP) được hình thành trong thời gian 24 tháng trở về trước tính từ thời điểm có văn bản giao nhiệm vụ để xây dựng hệ số điều chỉnh giá đất. Trường hợp thông tin có cùng thời điểm phát sinh thì ưu tiên lựa chọn nguồn thông tin theo thứ tự như sau: cơ sở dữ liệu quốc gia về đất đai, cơ sở dữ liệu quốc gia về giá; thông tin về giá đất từ Văn phòng đăng ký đất đai, cơ quan thuế; đơn vị, tổ chức thực hiện việc đấu giá quyền sử dụng đất, đấu giá tài sản, sàn giao dịch bất động sản, doanh nghiệp bất động sản; thông tin thu thập qua điều tra, khảo sát;

b2) Thu thập thông tin giá đất do cấp có thẩm quyền quyết định khi giao đất, cho thuê đất trong thời gian 24 tháng trở về trước tính từ thời điểm có văn bản giao nhiệm vụ để xây dựng hệ số điều chỉnh giá đất.

b3) Thu thập thông tin về các khoản thu nhập, chi phí để xác định giá đất theo phương pháp thu nhập, thặng dư đối với trường hợp không đủ điều kiện áp dụng phương pháp so sánh nhưng xác định được các khoản thu nhập, chi phí từ việc sử dụng đất theo mục đích sử dụng đất (nếu có);

b4) Thông tin quy hoạch xây dựng chi tiết, quy hoạch tổng mặt bằng của các dự án đầu tư xây dựng, giá đất mà cơ quan có thẩm quyền phê duyệt của các dự án;

b5) Việc điều tra, khảo sát, thu thập thông tin quy định tại diêm này thực hiện theo Mẫu số 30 và Mẫu số 31 Phụ lục II ban hành kèm theo Nghị định số 151/2025/NĐ-CP. Ngoài các nội dung điều tra, khảo sát quy định tại điểm này, Ủy ban nhân dân cấp tỉnh có thể bổ sung các thông tin khác vào phiếu điều tra để đáp ứng yêu cầu xây dựng hệ số điều chỉnh giá đất tại địa phương.

c) Xây dựng hệ số điều chỉnh mức biến động thị trường, hệ số điều chỉnh theo quy hoạch và hệ số điều chỉnh theo yếu tố khác ảnh hưởng đến giá đất.

d) Cơ quan có chức năng quản lý đất đai cấp tỉnh có trách nhiệm:

d1) Xây dựng dự thảo Tờ trình về việc ban hành hệ số điều chỉnh giá đất; đăng hồ sơ lấy ý kiến đối với dự thảo hệ số điều chỉnh giá đất cùng với bảng giá đất đã được Hội đồng nhân dân cấp tỉnh thông qua trên Cổng thông tin điện tử của Ủy ban nhân dân cấp tỉnh, của cơ quan có chức năng quản lý đất đai cấp tỉnh trong thời gian 10 ngày kể từ ngày đăng hồ sơ trên Cổng thông tin điện tử;

d2) Lấy ý kiến bằng văn bản đối với dự thảo hệ số điều chỉnh giá đất của Ủy ban Mặt trận Tổ quốc Việt Nam cấp tỉnh, các tổ chức thành viên của Mặt trận, cơ quan thuế, tổ chức tư vấn xác định giá đất và các cơ quan, tổ chức khác (nếu cần thiết);

d3) Tiếp thu, hoàn thiện dự thảo Tờ trình về việc ban hành hệ số điều chỉnh giá đất; chỉ đạo tổ chức thực hiện định giá đất tiếp thu, giải trình ý kiến góp ý, hoàn thiện dự thảo hệ số điều chỉnh giá đất và Báo cáo thuyết minh xây dựng hệ số điều chỉnh giá đất;

d4) Trình Hội đồng thẩm định bảng giá đất, thẩm định hệ số điều chỉnh giá đất.

đ) Hội đồng thẩm định bảng giá đất, thẩm định hệ số điều chỉnh giá đất thực hiện thẩm định hệ số điều chỉnh giá đất và gửi văn bản thẩm định về cơ quan có chức năng quản lý đất đai cấp tỉnh. Nội dung thẩm định bao gồm: việc tuân thủ nguyên tắc, phương pháp định giá đất, trình tự, thủ tục định giá đất, kết quả thu thập thông tin, đánh giá sự phù hợp của hệ số điều chỉnh giá đất với nhu cầu quản lý nhà nước về giá đất tại địa phương; việc tuân thủ quy định lựa chọn thông tin quy định tại điểm b khoản này.

e) Cơ quan có chức năng quản lý đất đai cấp tỉnh tổ chức thực hiện tiếp thu, giải trình, chỉnh sửa và hoàn thiện dự thảo hệ số điều chỉnh giá đất theo ý kiến của Hội đồng thẩm định bảng giá đất, thẩm định hệ số điều chỉnh giá đất; trình Ủy ban nhân dân cấp tỉnh.

g) Ủy ban nhân dân cấp tỉnh quyết định ban hành hệ số điều chỉnh giá đất, công bố công khai và chỉ đạo cập nhật vào cơ sở dữ liệu quốc gia về đất đai.

Trường hợp tại thời điểm Ủy ban nhân dân cấp tỉnh quyết định sửa đổi hệ số điều chỉnh giá đất mà hệ số điều chỉnh mức biến động thị trường cao hơn mức tối đa hoặc thấp hơn mức tối thiểu, thì Ủy ban nhân dân cấp tỉnh quyết định sửa đổi, bổ sung hệ số điều chỉnh giá đất đồng thời trình Hội đồng nhân dân cấp tỉnh xem xét việc sửa đổi bảng giá đất. Sau khi Hội đồng nhân dân cấp tỉnh quyết định sửa đổi bảng giá đất, Ủy ban nhân dân cấp tỉnh phải rà soát để sửa đổi, bổ sung hệ số điều chỉnh giá đất cho phù hợp với bảng giá đất sửa đổi.

h) Trong thời hạn không quá 15 ngày kể từ ngày quyết định ban hành hệ số điều chỉnh giá đất, Ủy ban nhân dân cấp tỉnh gửi kết quả về Bộ Nông nghiệp và Môi trường.

3. Trình tự, thủ tục sửa đổi, bổ sung hệ số điều chỉnh giá đất thực hiện như trình tự, thủ tục xây dựng hệ số điều chỉnh giá đất quy định tại khoản 2 mục này.

IV. Bổ sung các mẫu vào Phụ lục ban hành kèm theo Nghị định số 101/2024/NĐ-CP ngày 29 tháng 7 năm 2024 của Chính phủ quy định về điều tra cơ bản đất đai; đăng ký, cấp Giấy chứng nhân quyền sử dụng đất, quyền sở hữu tài sản gắn liền với đất và Hệ thống thông tin đất đai

Mẫu số 01/TĐBĐ: Mẫu khung và trình bày khung mảnh trích đo bản đồ địa chính thực hiện theo thiết kế kỹ thuật – dự toán hoặc phương án nhiệm vụ (phục vụ công tác quản lý nhà nước về đất đai thuộc thẩm quyền của cấp xã hoặc phục vụ đăng ký biến động đất đai của Văn phòng đăng ký đất đai, Chi nhánh Văn phòng đăng ký đất đai)

image006

 

Mẫu số 02/TĐBĐ: Mẫu khung và trình bày khung mảnh trích đo bản đồ địa chính thực hiện theo nhu cầu của người sử dụng đất

image007

Mẫu số 03/CLBĐ: Phiếu đo đạc chỉnh lý thửa đất

CỘNG HÒA XÃ HỘI CHỦ NGHĨA VIỆT NAM
Độc lập – Tự do – Hạnh phúc
—————

(Địa danh), ngày   tháng    năm…

PHIẾU ĐO ĐẠC CHỈNH LÝ THỬA ĐẤT

1. Thửa đất số: ………….; tờ bản đồ số: ……… ; diện tích: …………m²; loại đất: …………

…………………………….. ; hình thức sử dụng (chung, riêng): …………………………………

2. Địa chỉ thửa đất (Thể hiện số nhà, tên đường, phố, tên xứ đồng (nếu có)): ……………..

…………………………………………………………………………………………………………………..

3. Tên người sử dụng đất, người quản lý đất: ………………………………………………………

4. Địa chỉ người sử dụng đất, người quản lý đất: …………………………………………………..

5. Giấy chứng nhận hoặc quyết định giao đất, cho thuê đất, cho phép chuyển mục đích sử dụng đất hoặc giấy tờ về quyền sử dụng đất (giấy tờ): …………………………………………………………………………….

– Loại giấy tờ: ………………………………………………………………………………………………..

– Diện tích trên giấy tờ: ………………. m²; loại đất trên giấy tờ: ………………………………..

6. Tình hình thay đổi ranh giới thửa đất so với khi có giấy tờ: …………………………………..

…………………………………………………………………………………………………………………..

7. Diện tích, loại đất sau đo đạc chỉnh lý: …………………………………………………………….

…………………………………………………………………………………………………………………..

8. Sơ đồ thửa đất:

9. Tọa độ, kích thước cạnh:

image008

Tọa độ đỉnh thửa(*)

Kích thước cạnh

(m)

Đỉnh

X(m)

Y(m)

1

…

2

….

….

…

…

….

1

(*) Chỉ thực hiện khi chỉnh lý BĐĐC/trích đo BĐĐC ở hệ VN-2000

 

Đơn vị đo đạc(**)
(Ký, ghi rõ họ và tên, chức vụ, đóng dấu)

Người sử dụng, quản lý đất (***)
Tôi ký tên dưới đây xác nhận các thông tin về thửa đất nêu ở Phiếu này là đúng với hiện trạng sử dụng, quản lý đất
(Ký, ghi rõ họ và tên)

 

Cơ quan có chức năng quản lý đất đai cấp xã/ Văn phòng đăng ký đất đai hoặc Chi nhánh Văn phòng đăng ký đất đai
(theo phân cấp)
(Ký, ghi rõ họ và tên, chức vụ, đóng dấu)

 

(**) Cán bộ đo đạc ký đối với trường hợp Văn phòng đăng ký đất đai/Chi nhánh Văn phòng đăng ký đất đai là đơn vị đo đạc.

(***) Người sử dụng đất, người quản lý đất kiểm tra các thông tin về thửa đất trên đây nếu phát hiện có sai sót thì báo ngay cho đơn vị đo đạc để kiểm tra, chỉnh sửa, bổ sung; trường hợp không phát hiện sai sót thì ký xác nhận và gửi lại cho đơn vị đo đạc 01 bản, người sử dụng đất được giữ 01 bản.

Lê Phương Thảo

CÔNG TY LUẬT TNHH KHD

Bài viết liên quan

Nghị định 132/2026/NĐ-CP sửa đổi Nghị định 41/2018/NĐ-CP quy định xử phạt vi phạm hành chính trong lĩnh vực kế toán, kiểm toán độc lập

Nghị định 132/2026/NĐ-CP sửa đổi Nghị định 41/2018/NĐ-CP quy định xử phạt vi phạm hành chính trong lĩnh vực kế toán, kiểm toán độc lập

Nghị định 373/2025/NĐ-CP sửa đổi Nghị định 126/2020/NĐ-CP hướng dẫn Luật Quản lý thuế

Nghị định 373/2025/NĐ-CP sửa đổi Nghị định 126/2020/NĐ-CP hướng dẫn Luật Quản lý thuế

Quyết định 11/2023/QĐ-TTg quy định mức giao dịch có giá trị lớn phải báo cáo

Quyết định 11/2023/QĐ-TTg quy định mức giao dịch có giá trị lớn phải báo cáo

Nghị định 19/2023/NĐ-CP hướng dẫn Luật Phòng, chống rửa tiền

Nghị định 19/2023/NĐ-CP hướng dẫn Luật Phòng, chống rửa tiền

Thông tư 27/2025/TT-NHNN hướng dẫn thực hiện Luật Phòng, chống rửa tiền

Thông tư 27/2025/TT-NHNN hướng dẫn thực hiện Luật Phòng, chống rửa tiền

Luật Phòng, chống rửa tiền 2022

Luật Phòng, chống rửa tiền 2022

    Liên hệ tư vấn

    Liên hệ tư vấn

    Chuyên viên tư vấn sẵn sàng hỗ trợ!



    Gọi chuyên gia tư vấn ngay

    Hoặc

    Đăng ký tư vấn

     0965679698
     info@khdlaw.vn
     Thứ 2-Thứ 7: 8h30-18h00
    CÔNG TY LUẬT TNHH KHD

    CÔNG TY LUẬT TNHH KHD

    Văn phòng Hà Nội

    TT 04 Licogi 13, 164 Khuất Duy Tiến,
    Phường Thanh Xuân, TP. Hà Nội

    0965679698

    info@khdlaw.vn

    https://khdlaw.vn

    Văn phòng TP. Hồ Chí Minh

    Toà nhà M Building KĐT Phú Mỹ Hưng,
    Phường Tân Phú, TP. Hồ Chí Minh

    0965679698

    info@khdlaw.vn

    https://khdlaw.vn

    Content Protection by DMCA.com

    Liên kết

    • TRANG CHỦ
    • GIỚI THIỆU
    • LĨNH VỰC
    • KIẾN THỨC
    • VĂN BẢN
    • TIN TỨC
    • LIÊN HỆ

    Lĩnh vực

    • HÌNH SỰ
    • DÂN SỰ
    • HÀNH CHÍNH
    • BẤT ĐỘNG SẢN
    • HÔN NHÂN VÀ GIA ĐÌNH
    • THỪA KẾ
    • DOANH NGHIỆP
    • LAO ĐỘNG
    • HỢP ĐỒNG
    • ĐẦU TƯ
    • SỞ HỮU TRÍ TUỆ
    • CÔNG NGHỆ
    • MÔI TRƯỜNG
    • TÀI CHÍNH – NGÂN HÀNG
    • THUẾ
    • THU HỒI NỢ
    • GIẤY PHÉP
    • LUẬT SƯ RIÊNG



      Gọi chuyên gia tư vấn ngay

      Hoặc

      Đăng ký tư vấn

      © 2026 CÔNG TY LUẬT TNHH KHD
      • TRANG CHỦ
      • GIỚI THIỆU
      • LĨNH VỰC
        • HÌNH SỰ
        • DÂN SỰ
        • HÀNH CHÍNH
        • BẤT ĐỘNG SẢN
        • HÔN NHÂN VÀ GIA ĐÌNH
        • THỪA KẾ
        • DOANH NGHIỆP
        • ĐẦU TƯ
        • LAO ĐỘNG
        • HỢP ĐỒNG
        • CÔNG NGHỆ
        • SỞ HỮU TRÍ TUỆ
        • MÔI TRƯỜNG
        • M&A
        • THUẾ
        • TÀI CHÍNH – NGÂN HÀNG
        • THU HỒI NỢ
        • GIẤY PHÉP
        • LUẬT SƯ RIÊNG
        • THEO KHU VỰC
      • KIẾN THỨC
        • HÌNH SỰ
        • DÂN SỰ
        • HÀNH CHÍNH
        • BẤT ĐỘNG SẢN
        • HÔN NHÂN VÀ GIA ĐÌNH
        • THỪA KẾ
        • DOANH NGHIỆP
        • ĐẦU TƯ
        • LAO ĐỘNG
        • HỢP ĐỒNG
        • SỞ HỮU TRÍ TUỆ
        • GIẤY PHÉP
        • ĐẤU THẦU
        • GIAO THÔNG
        • PHÁP LUẬT
      • Văn bản
        • VĂN BẢN PHÁP LUẬT
        • BIỂU MẪU
        • ÁN LỆ
      • Tin tức
        • TUYỂN DỤNG
      • Liên hệ
      0965679698